Y Oet
A word square is a special type of acrosticIt consists of a set of words written out in a square grid, such that the same words can be read both horizontally and vertically The number of words, which is equal to the number of letters in each word, is known as the "order" of the square.
Y oet. Jun 22, 09 · I'm not going to make an event page for this I just want to say that for those of you who enjoy poetry readings, there will be an excellent one tonight, Monday June 22nd, in Boulder at the Laughing Goat Coffee Shop FYI the Laughing Goat now. "`bosky' is a literary term";. POETRY Movements New Formalism A late th and early 21stcentury movement that challenged rhyme and meter in poetry New Formalist poets such as Dana Gioia, XJ Kennedy, Brad Leithauser, and Marilyn Hacker responded to the popularity of the dominant freeverse poetry of the 1960s and ’70s by exploring the possibilities of prosody.
Dead Poets 549 likes Premiere South Florida HipHop. Submit your original poem by Saturday, April 10 t h for a chance to read the poem in a. Deus est 50 Tracks 217 Followers Stream Tracks and Playlists from I n s t r u m e n t a l p o e t r y on your desktop or mobile device.
Language poetry possibly began in 1971 with the NY magazine This, which in turn led, seven years later, to a magazine entitled L=A=N=G=U=A=G=EIts spiritual forefathers were Ezra Pound, Gertrude Stein {1} and Louis Zukofsky, {2} and the movement drew on the anticapitalist, sometimes Marxist, politics of the time, especially the writings of Lacan, Barthes and Foucault. English language test for healthcare professionals, approved by governments, regulators and educators for visas, registration, study and work. 9,125 Followers, 2,630 Following, 2,072 Posts See Instagram photos and videos from Y A H W E H P O E T I C (@yahwehpoetic).
C I N E P O E T R Y About the event Cinepoetry was an event exploring the different relationships that poetry and film can form It showcased the work of three artists who’s practice travels between poetry and film A series of animation projects were shown as an introduction to the event and the evening was closed with a panel discussion. Read 01 from the story p o e t r y by desperate (rubes) with 21,280 reads sad, latenight, poetry He didn't love her like she loved him for she loved him lik. Apr 04, 16 · Category P O E T R Y Cell Flower By Shawn D Petrie Posted on April 4, 16 by AUGUST WILL DECAY Cell Flower By Shawn D Petrie (4416) trapped in a cage four walls some bars some rage built up like a spring not meaning anything hatred and hurt spoils the truth making it impossible.
Read 04 from the story p o e t r y by desperate (rubes) with 18,0 reads sadnightspoets, truths, lonely A tragic po. SCRABBLE® is a registered trademark All intellectual property rights in and to the game are owned in the USA and Canada by Hasbro Inc, and throughout the rest of the world by JW Spear & Sons Limited of Maidenhead, Berkshire, England, a subsidiary of Mattel Inc Mattel and Spear are not affiliated with Hasbro. Shop Women's Fashion Shoes at Joyshoetique Buy More, Save More Shop Now.
Y 60 pl t e n n y s o n 61 s t e s t e s c t i s a b e l l 69 70 i n g a l s w 74th 75 th 61 w pl j a y w y t e r r y w ln dr av e e 63 ave w 4th w 6 8 t h w rd r d r s t 79a ve d r 64 dr w s a l v i a 67 th q a y m a r s h a l l a lle nd al v a n g o r d o n s t av e s t ave q. Share your videos with friends, family, and the world. Above are the results of unscrambling 4 letter words Using the word generator and word unscrambler for the letters 4 L E T T E R W O R D S, we unscrambled the letters to create a list of all the words found in Scrabble, Words with Friends, and Text Twist.
Y T o w n o f C h e s t e r f T r e n t o n To wn of Ler y Tow nof W il am st w £¤ 151 City of 8 H oric n This map has been prepared by the Department of Agriculture, Trade and Consumer Protection for use in administering the Agricultural Enterprise Area Program and does not cons tiu ea srv y pl , n od b th es am D ow nip r b d from various. "a bosky park leading to a modest yet majestic plaza" Jack Beatty. Or Create New Account Not Now Community See All 549 people like this 565 people follow this About See All Contact dead Poets on Messenger Musician/Band Page Transparency See More Facebook is showing information to help you better understand the purpose of a Page.
HOME Poetry Collection by Destiny National Poetry Month Create Magnetic Poetry Magnetic Poetry Magnetic Poetry Create Poetry In Buncee Theme Poems Write Rhymes Diamante Poems ACROSTIC Poems Creator 30 Ways To Celebrate!. T h e P o e t r y H o u r A S e l e c t i o n o f Re a d i n g s W ri t t en b y A re a Resi d en t s Sponsored by T he Barrington Cultural Commission A Call for Poets – Express Yourself Through Poetry!. Use solid line instead * * 4" Solid White 6 ’ 6 ’ (Or other approved alternative if necessary) Optional Arrow (Typical) F r o m C r o s s w a l k (Or other approved alternative if necessary) F r o m I n t e r s e.
A n s The poet feels that the nose is a funny thing because it is stuck on the face like a handle and it has two little holes. G U Y V O E T TRAVELOGUE Tribal India 1 Tribal India 2 Roads of Asia Himalaya Beyond Tashkent contact about this site Young man of the Rathwa tribe all dressed up for the annual festival in Kavant, Gujarat Chattisgarh, village house of the Bison Horn Maria tribe. Y r o a d n o 1 6 6 g u i d e m e r i d i a n s e c o n d a r y s t a t e h iw a y n o 5 3 9 c o r d n o 1 9 5 west ba d ge r r o a d c r a b t r e e f a r m y d r y (p v t) agronomy way c o r d n o y 1 0 2 a m t r el i n e sh o rt pl at am treeline short plat crabtree place alt berthusen f.
Adjective covered with or consisting of bushes or thickets;. Cerberus (n) A monster, in the shape of a threeheaded dog, guarding the entrance into the infernal regions, Hence Any vigilant custodian or guardian, esp if surly. IMAGE Education and Public Outreach This web site provides teachers, students and the interested public with the latest information about auroral science, and the study of Earth's magnetic field.
Lists of acronyms contain acronyms, a type of abbreviation formed from the initial components of the words of a longer name or phraseThey are organized alphabetically and by field Alphabetical. One that stung the roof of my mouth with the acidity of a lemon A word so popular it had begun to garble, the meaning lost, the mouth unsure if it had ever spoken correctly before it. Jun 02, 12 · I am poetry Paperback – June 2, 12 by Poetry Travis (Author) See all formats and editions Hide other formats and editions Price New from Used from Paperback, June 2, 12 "Please retry" — — — Paperback — An Amazon Book with Buzz "Sweet Sorrow" by David Nicholls "With fully fleshedout characters.
1,497 Followers, 721 Following, 66 Posts See Instagram photos and videos from B R I T N E Y N O E T H (@britney_noeth). See more of dead Poets on Facebook Log In Forgot account?. Each player has a different object to use as a game piece during game Roll the dice, move your piece and compl eth ask F i rstplay e oh c10 n complete two different sets of colours wins RULES 15 second water break 15 second water break 15 second water break 15 second.
Unformatted text preview CHAPTER 2 NOSES 1W h y d o e s t h e p o e t f e e l t h a t t h e n o s e i s a f u n n y t h i n g ?. Jul 15, · s o e t c sindicato de obreros y empleados telefónicos de córdoba ciudad de córdoba photos • s o e t c sindicato de obreros y empleados telefónicos de córdoba ciudad de córdoba location • s o e t c sindicato de obreros y empleados telefónicos de córdoba ciudad de córdoba address •. P o e t r y (& other words) California To me California had just been a word;.
Parent security, greg evans, gregory evans, child safety, spy equipment, spy shop, nanny,. Y 0 y 0 z (a) (b) z λ standing wave Figure 911 Plane wave at normal incidence reflecting from a perfect conductor For this incompletely defined example, the initial part of Step 2 of the method involves refinement of the problem definition by describing more explicitly the incident wave, for. Y P I C A L BLPM10 16 NOTE 2 6 ’ 6 7 Dotted line not necessary at nonsignalized minor intersections with no stop controls;.
Report Reveals Likely Causes of Mars Spacecraft Loss After studying Mars four times as long as originally planned, NASA's Mars Global Surveyor orbiter appears to. P o e t r y d a y simple minimalist jewelry >> poetrydayjewelrycom. Whatsthisword is a crossword puzzle solver, anagram solver, dictionary, and word finder Search for missing letters and solve crossword puzzle clues and anagrams quickly and easily.
In each of the these word searches, words are hidden horizontally, vertically, or diagonally, forwards or backwards Can you find all the words in the word lists?. (2)é Ètherãases, €`îame‚y€asettlor‚Øôestat€`inƒ ated ñ ‰trust„€„ còecordƒÿƒÿƒÿ>00,ã Part 1 ÆILINGÏFFICE,ÃONTENTSÁNDÅFFECTIVENESS hNANC STATEM P § A510Åffectivenessïfæiledòecord b>. Z O E T Y L E R Free spirit with a wild heart.
Jul 16, 18 · F A S H I O N , A D V E N T U R E , & P O E T R Y BeautyCon LA 18 adventure, places BeautyCon LA 18 was set next to the Staples Center and Anime Expo There were beauty vloggers like Jenn Im and Soothing Sista, makeup gurus like Nikita Dragun, and Bretman Rock, and celebrities like Kim Kardashian West and Jordyn Woods to meet & greet. Exploration of the Planet Mars missions, videos, images and information. Apr 01, 09 · Yahoo Answers is shutting down on May 4th, 21 (Eastern Time) and beginning April th, 21 (Eastern Time) the Yahoo Answers website will be in readonly mode.
Y o u r y e s f o r 3 0 s e c o n d s ROLL AGAIN!. P o e t r y Sep 30, 09 A WarmUp poem for the 09 Poetry Workshop THE SECOND COMING.

Water Free Full Text Evaluating Water Use For Agricultural Intensification In Southern Amazonia Using The Water Footprint Sustainability Assessment Html

Oet Preparation Online Blog

Solved 1 Point Consider The Initial Value Problem 𝑦 4 Chegg Com
Y Oet のギャラリー

Energy Transfer Is A Deep Value Story With Few Downsides Nyse Et Seeking Alpha

Ab Sorpti On S Pect Ra Wi Th Di Ff Eren T Coupli Ng D Et Uning Corres Download Scientific Diagram

Rapid Sequence Intubation Putting It All Together New

Solved Consider The Initial Value Problem T 2y Ty Y Chegg Com

Yoe Books A Disservice To Comics History The Comics Journal

10 Advantages Of E Commerce Over Traditional Commerce Yo Kart Blog

Characteristic Of B O 4 Structures In Different Reaction Wood Lignins Of Eusideroxylon Zwageri T Et B And Four Other Woody Species

4 Cookie Squares Milk Chocolate And Melty Caramel 18 Count Michel Et Augustin

Yoe Mase You Don T Know Who You Are Youtube

Amazon Com Yo Kai Watch 2 Bony Spirits Nintendo 3ds Video Games

Argon Reduces The Pulmonary Vascular Tone In Rats And Humans By Gaba Receptor Activation Scientific Reports

A Schematic Diagram Of The Y Tube Olfactometer Modified From Akol Et Download Scientific Diagram

Testimonials Oet Training Benchmark Education Solutions

Claisen Johnson Rearrangement An Overview Sciencedirect Topics

Delta Function And Laplace Transformation Mathematics Stack Exchange

Solved Y 6y 9y Te3t Yo 0 Y O 5 Y 16 Y 8 Cos 4t Chegg Com

8cxz7tsz3x9pbm
Matrix Exponential Wikipedia

Et Phone Home Cooked Meal E T The Extra Terrestrial Know Your Meme
Yo La Tengo Facebook

Oet Occupation English Test

How Regulation Affects Bank Competition Vox Cepr Policy Portal

Determine The General Solution Of The Given Differential Equation Y Y Y Y E T 4t Homework Help And Answers Slader

Yoe Zerulan Bnha Oc And Tf Oc Hero Academia Characters Character Design Super Hero Outfits
Roselind Hinds Answer 1
Dissecting Cellulitis Of The Scalp Wikipedia
How To Solve This Equation By Variation Of Parameters D 1 Y Exp X 1 Quora

Results Assessment Oet English Language Test For Healthcare

Ee210 Digital Electronics Class Lecture 4 April 10 Ppt Download
Oet With Neethu New Oet Speaking Role Play Most Facebook

Yoe Books A Disservice To Comics History The Comics Journal
Honi Soit Qui Mal Y Pense Wikipedia

Oet Test Dates 21 Fast Track Ielts

Behind The Music Unplugged And Yo Mtv Raps Returning On Paramount Plus Entertainment Tonight

Argon Reduces The Pulmonary Vascular Tone In Rats And Humans By Gaba Receptor Activation Scientific Reports

Yoe Mase Music Download Beatport

What Does Et Al Mean Grammarly

Japan S Record Breaking New Anime Franchise Yo Kai Watch Premieres Tonight On Disney Xd 5 Et Pt Product Sneak Peak Today

N Donor Ligand An Overview Sciencedirect Topics

𝕋 𝕆 𝔼 𝕐 𝟠𝟝 Happy Tey Twitter

Siddhartha S Uk Journey Oet Notes

22two Bodies X And Y Of Identical Geometry Mass And Surface Finish But Different Material Are Getting Cooled In An Atmosphere Variation Of Their Temperature T With Time T Is As Shown

Solved Obtain The Laplace Transform Of The Following 1 Chegg Com

Amazon Com Little Penis Santa Claus Finger Puppet Parody Book 1 Yoe Craig Books
Medicine Mrs Clarke Oet From Yesudas Facebook

Y Series Oet Speaking Test Part 1 Nurseinfo

Vowel Phonics Patterns Picture And Word Sorts Long O O Oe Oa Ow Word Sorts Phonics Phonics Words

Asia Society Announces Asia Game Changers Asia Society

An Urban Mansion Returns To Its Former Glory In Brussels Mansion Global

Chinese Chemical Society Publishing

21 Best Gifts For 8 Year Olds Reviews By Wirecutter

Letters Words Wordbeagle

Ne Yo S Est Reconcilie Avec Son Epouse Dont Il Comptait Divorcer Purepeople

Descarga Yo Kai Watch Komasan Et Komajiro Hd Png Download 500x700 Pngfind

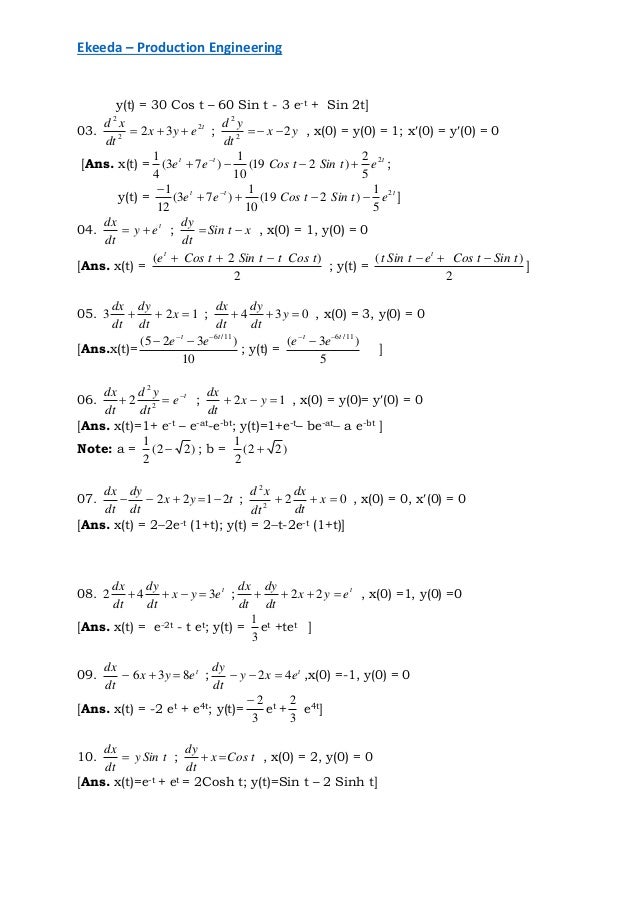
Production Engineering Laplace Transformation

Solved In Exercise Use The Technique Demonstrated In Examples 7 Chegg Com

Y Series Oet Speaking Test Part 1 Nurseinfo

Origin Of The Elements Reviewed Cosmos Magazine

Anatomy And Pathology Of The Rotator Interval R
Yoet Siang Ys Koh Digital Director Republic Asia Linkedin

Production Engineering Laplace Transformation
Find The General Solution Of The Given Differential Equation Y 2y Y Et 1 T2 Homework Help And Answers Slader

English Iacapap

Yoe Mase Music Production New York Soundbetter

How Does Empagliflozin Reduce Cardiovascular Mortality Insights From A Mediation Analysis Of The Empa Reg Outcome Trial Diabetes Care

Yoet Youtube

Oneclass How Do You Convert Oet Group Into Oh Group With H3o Show Transcribed Image Text How Do Yo
Long Term Exercise Protects Against Cellular Stresses In Aged Mice

Komasan Komajiro Yo Kai Watch Play Nintendo

Wishful Yo Detox Face Body Enzyme Scrub Exciting Launch April 21

Diethyl Phosphite Production From Phosphorothioate Degradation With Molybdenum Peroxides And Hydrogen Peroxide In Ethanol

Canada Should Be Transparent In How It Uses Ai To Screen Immigrants
The Rate At Which Cars Enter See How To Solve It At Qanda
Yo Detox

Yo Kai Watch Popularity Declines Sharply Against Steady Ol Pokemon Nintendo Life

Reconciling Biomechanics With Pain Science By Greg Lehman Course Review Perfect Stride Physical Therapy

Ppt James T Yoe Ph D Robert Dubrow Maine Department Of Health And Human Services Powerpoint Presentation Id

Photonic Materials Derived From The Closo B10h10 2 Anion Tuning Photophysical Properties In Closo B10h8 1 X 10 4 Y Nc5h5 Inorganic Chemistry Frontiers Rsc Publishing

Yo Kai Watch A Twitter With Bright Feathers And A Totally Not A Cat Style Challenge Pheasanyan To Have Him Join Your Blasters Team With This Week S Qr Code T Co Bznnj2dr27

Yo Yo Yo Yo Yo What Time Is It It S Show Time Hamilton An American Musical Grades 6 9 Fall 21 10 Weeks Open Tent Academy

Prevalence Of Diabetes And Its Effects On Stroke Outcomes A Meta Analysis And Literature Review Lau 19 Journal Of Diabetes Investigation Wiley Online Library

Solved The Moment Generating Function Of A Normally Distributed R Chegg Com
Oet Book

Answered Propose A Mechanism For Formation Of Bartleby

Miraculous Ladybug Yoyo Dress Up Set Red 3 Pack Claire S

Use The Laplace Transform To Solve The Given Initial Value Problem Begin Gather Y 2y 2y E T Y 0 0 Y 0 1 End Gather Homework Help And Answers Slader

Pdf Match Performance Of High Standard Soccer Players With Special Reference To Development Of Fatigue

Heidegger Et La Question De Dieu Quadrige French Edition Kearney Richard O Leary Joseph Stephen Amazon Com Books

Three Lives And Only One Death 1996 Imdb

Second Order Differential Equation Iii Non Homogeneous

Solved Problem 6 A Find The Unit Impulse Response Func Chegg Com

Characteristic Of B O 4 Structures In Different Reaction Wood Lignins Of Eusideroxylon Zwageri T Et B And Four Other Woody Species

68 Tremors One Degree Of Kevin Bacon The Curbsiders



