
Selective Gabaergic Innervation Of Thalamic Nuclei From Zona Incerta Bartho 02 European Journal Of Neuroscience Wiley Online Library

Chord I Can T Live Without Your Love ron Lines Tab Song Lyric Sheet Guitar Ukulele Chords Vip

Recent Progress In The Usage Of Tetrabromo Substituted Naphthalenetetracarboxylic Dianhydride As A Building Block To Construct Organic Semiconductors And Their Applications Organic Chemistry Frontiers Rsc Publishing
Co Y Tfh のギャラリー

Rotational Kinematics Ppt Download

Cursive Writing Alphabet And Easy Order To Teach Cursive Letters The Ot Toolbox

Staatscourant 02 248 Pag 75 Overheid Nl Officiele Bekendmakingen

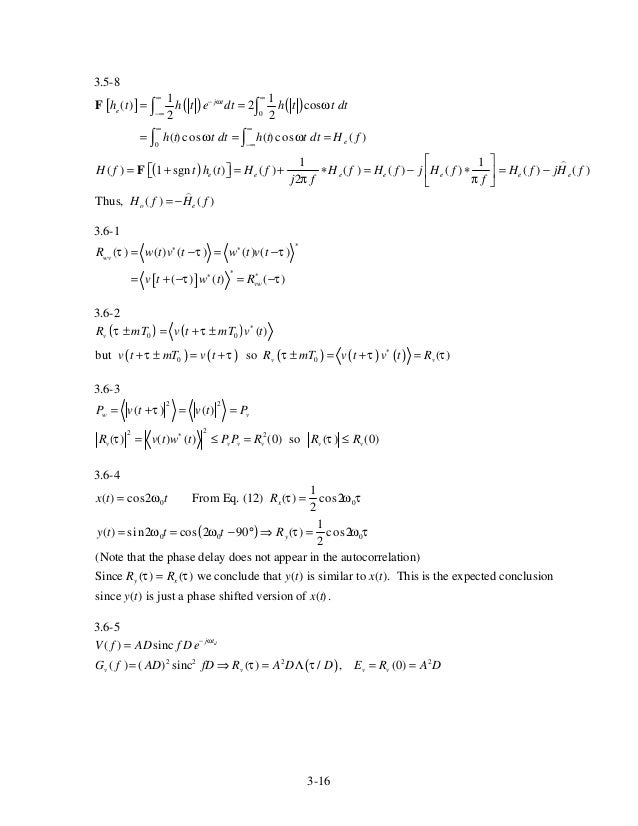
Sistemas De Comunicacion 4ta Edicion Bruce A Carlson Solutions M

Simple Solutions Of Relativistic Hydrodynamics For Longitudinally And Cylindrically Expanding Systems Topic Of Research Paper In Physical Sciences Download Scholarly Article Pdf And Read For Free On Cyberleninka Open Science Hub

Numerieke Wiskunde 21 Vakcode Wisb251 Docent Dr P A Zegeling Kamer 513 In Het Hf Gebouw Wiskundegebouw Budapestlaan 6 030 Assistenten Bij Het Werkcollege Computerpraktikum Andreas Max En Jasper Op

Journal Of Banking Finance Elsevier

Pellet Machine Pellet Plant Hammer Mill Wood Chipper Repuestos Proveedores Y Fabricantes Y Fabrica Liyang Tongfu Machinery Co Ltd

Quote

A Q J M Z O R W P I N B C L E X Drawing By Alain

Wou Tfh Graphic Lcd Display From Winstar Co 128x64 Transflective Positive Fstn White Background Black Content

Pellet Machine Pellet Plant Hammer Mill Wood Chipper Repuestos Proveedores Y Fabricantes Y Fabrica Liyang Tongfu Machinery Co Ltd

Identification Of A Super Functional Tfh Like Subpopulation In Murine Lupus By Pattern Perception Elife

Publications 台大楊吉水教授有機與材料化學實驗室 Jye Shane Yang Research Group Organic And Material Chemistry Laboratory

Letter Formation The Ot Toolbox

The Middle Miocene Palynofloras Of The Salihpasalar Lignite Mine Yatagan Basin Southwest Anatolia Environmental Characterisation And Comparison With Palynofloras From Adjacent Basins Springerlink
L Hopital S Rule Wikipedia

The Met Tyr Trp Cross Link In Mycobacterium Tuberculosis Catalase Peroxidase Katg Autocatalytic Formation And Effect On Enzyme Catalysis And Spectroscopic Properties Sciencedirect

Pdf Multidimensional The Ricci Flat Spaces Defined By Nonlinear Equations

Rotational Kinematics Ppt Download

Solved 1 5 1 C And F Can You Also Show Me Step By Step O Chegg Com
L I I F L K Y F O E O O

Implicit Ode Solvers

Solved 2 Points Consider The Function 2 Ry F X Y X Chegg Com

Imaging Vehicle To Vehicle Communication Using Visible Light

Non Woven Shoe Cover Making Machine Mask Making Machine Shoe Cover Making Machine

Chord What Ll I Do Lisa Hannigan Tab Song Lyric Sheet Guitar Ukulele Chords Vip

The Objective Is To Solve Numerically The Followin Chegg Com

Receptor Subtype Specific Docking Of Asp6 59 With C Terminal Arginine Residues In Y Receptor Ligands Journal Of Biological Chemistry

Mssbauer Polarimetry With Laboratory Sources And At Synchrotrons

Report Of The Department Of Mines Of Pennsylvania F Ia En O I I Gt H E 1 Ft C3 O Y Gt O Ift M H O T T

Function Mathematics Wikipedia

C Banding A C E G I K M O Q S And Fish Using Both Rdna Green And Download Scientific Diagram

Optimization Of Post Etch Cobalt Compatible Clean By Ph And Oxidizer Scientific Net

Derivative Wikipedia

The Derivative Rules For Multivariable Functions Stated Theorem 10 On Page 151 Are Analogous To Derivative Rules From Single Variable Calculus Example 1 Page 152 Illustrates The Quotient Rule Reca

The Canadian Journal Of Industry Science And Art Co T 3 P O Jg F3 Ffl 5 W 55 Pp Ss Tc Ss 2 Sioiisajl W5 C3

Solved A State Newton S Second Law Of Motion In Vector F Chegg Com

Solved Hello This Is All One Question With Multiple Part Chegg Com

Carla Bonina Carlabonina Twitter

L Hopital S Rule Wikipedia

Fifth Assessment Report Synthesis Report By Ipcc Issuu

Volvo Fh Fh16 12 Reworked Euro Truck Simulator 2

Aging Tissue Iron Is Negatively Correlated With Terc Or Tert Mrna Expression A Heterochronic Parabiosis Study In Mice Full Text

Chord Replaced Kate Mcgill Tab Song Lyric Sheet Guitar Ukulele Chords Vip

Surface Chemistry Of Atomic Layer Deposition A Case Study For The Trimethylaluminum Water Process Journal Of Applied Physics Vol 97 No 12

Ppt Air Sea Co 2 Exchange In The Northern South China Sea Powerpoint Presentation Id

Chord Dear Winter Ajr Tab Song Lyric Sheet Guitar Ukulele Chords Vip

F Company Auxiliary Division

On Cauchy S Modulus Surfaces 6 Investigation Of Simple Cases I W Az 4 T The Transformation W Az V H Is A Linear Transformation Con Sisting Of Similitude A

Journal Of Financial Economics Elsevier

H O G S B A C K O R G A N I S E S H O P H A R V E S T D R I N K U P I N T H E B R E W E R Y F O R A R E C O R D 2 0 0 0 L O C A L S Hogsback

8 People Should Send Their Co See How To Solve It At Qanda

Games And Economic Behavior Journal Elsevier

On Site Magazine June 13 By Annex Business Media Issuu

Solved Acan They Ever Be The Same Explain Your Answers Chegg Com

Lesson 9 Basic Differentiation Rules
Page 0043 Images Of Oklahoma Oklahoma Digital Prairie Documents Images And Information
Consider An Ar 2 Model 3 C Mlytl Qzj Tz 5t Where At Is Lid N O 02 A What Is The Weak Stationarity Condition For This Model Course Hero

Selective Fischer Tropsch Synthesis For Jet Fuel Production Over Y 3 Modified Co H B Catalysts Sustainable Energy Fuels Rsc Publishing Doi 10 1039 D0see

Encoding Reversing Petri Nets In Answer Set Programming Springerlink

Scrabble Word Finder Scrabble Cheat

1 The Cost C Of Tiling A Room See How To Solve It At Qanda

Arshanadam 3 Arshanadam 456 Page 5 Created With Publitas Com

Solved A The Plot Below Is The Correct Representation Of Chegg Com

Catalysts Free Full Text Nucleophilic Dearomatization Of Activated Pyridines Html
1 Vytah

Icos Signaling Promotes A Secondary Humoral Response After Re Challenge With Plasmodium Chabaudi Chabaudi As

A Commentary On Thermo Responsive Polymeric Surfaces Control Of Attachment And Detachment Of Cultured Cells By N Yamada T Okano H Sakai F Karikusa Y Sawasaki Y Sakurai Makromol Chem Rapid Commun 1990

Structural Formulae Previously Proposed For Vesuvianite 2 X Y13z Download Table

Vo Co M I C A N Oj U 3 C 1 Oj A 1 U Co E C 1 Gt Gt B O W U Id T U C 0 U

7 References Combining Individual Scour Components To Determine Total Scour The National Academies Press

Activated Inducible Co Stimulator Positive Programmed Cell Death 1 Positive Follicular Helper T Cells Indicate Disease Activity And Severity In Ulcerative Colitis Patients Clinical Experimental Immunology X Mol

How Accurately Can The Climate Sensitivity To Hbox Co 2 Co2 Be Estimated From Historical Climate Change Springerlink

Distinction Between Vaginal And Cervical Microbiota In High Risk Human Papilloma Virus Infected Women In China Bmc Microbiology Full Text

D T T Dt 1 Voor Alle T 0 Pdf Free Download

Chord All Will Fade Away Meredith Andrews Tab Song Lyric Sheet Guitar Ukulele Chords Vip

A H Safranin O Staining Of The Proximal A C E G And Distal B D Download Scientific Diagram