Y Tch C
See what w i t c h e e w y n (witcheewyn) has discovered on , the world's biggest collection of ideas.
Y tch c. We and our partners process personal data such as IP Address, Unique ID, browsing data for Use precise geolocation data Actively scan device characteristics for identification Some partners do not ask for your consent to process your data, instead, they rely on their legitimate business interest. Apr 15, 21 · * w i t c h y * OB * HiMyNameIsDonut 0 Follow Unfollow Posted on Apr 15, 21 About 2 weeks ago 265 104 6 13 * Smacc dat show more * Ello o/ This outfitbase was really fun to make o I had no inspiration on what to do at first, then I thought, why not a witch themed skin So yeah. The Minecraft Skin, M a t c h i n g O u t f i t ~ B o y V, was posted by Tootsi.
WITCH (stylised as Witch) is an Italian fantasy comics series written by Elisabetta Gnone, Alessandro Barbucci, and Barbara CanepaThe series follows a group of five teenaged girls who become the guardians of the classical elements of water, fire, earth, air and energy, and protectors of the mythical Kandrakar, the centre of the universe, from people and creatures who wish to. E V E N L Y M A T C H E D Warhammer II Close 317 Posted by 1 year ago Archived E V E N L Y M A T C H E D Warhammer II 65 comments share save hide report 96% Upvoted This thread is archived New comments cannot be posted and votes cannot be cast Sort by best level 1 76 points · 1 year ago. B a y w a t c h Close 538 Posted by 1 year ago Archived B a y w a t c h 9 comments share save hide report 99% Upvoted This thread is archived New comments cannot be posted and votes cannot be cast Sort by best level 1 14 points · 1 year ago B o i w a t c h.
281k Followers, 2,998 Following, 616 Posts See Instagram photos and videos from R Y A N F I T C H (@ryan_fitch07). M o o d y b v t c h 210,500 likes · 70,295 talking about this Feel free when you're here. M ø ø d y B v t ç h, Bloemfontein, Free State 353 likes · 1 talking about this Motivational Page.
W I T C H E R Y & the M O O N The Witch Tarot Workshops Spells & Tools Event Booking Reviews Contact & Consultations 0 0 Join My Coven W I T C H E R Y & the M O O N The Witch Tarot Workshops Spells & Tools Event Booking Reviews Contact & Consultations. Discussion in 'Cartoons and Anime Forum' started by Diamandis, Mar 24, Mar 24, #1 Diamandis Your feelings=/=Facts BANNED 6 386 Sep 19, 19 Ratings 9,303 / 738 / 984 It popped up in my recommendations and I got so nostalgic Why did they stop the 3rd season?. Im still trying stuff 1st fan of @neomirxge "Tchuftchuf" all pictures are made by @neomirxge Barcelona 19 Tracks 143 Followers Stream Tracks and Playlists from T C H U F Y on your desktop or mobile device.
Mar 30, · Do y'all remember WITCH?. 405 Followers, 1,027 Following, 647 Posts See Instagram photos and videos from Mytch (@mytch). Explore ** L A D Y B I A T C H **'s 155 photos on Flickr!.
Explore releases from MYTCH at Discogs Shop for Vinyl, CDs and more from MYTCH at the Discogs Marketplace. Feb 01, 21 · Download skin now!. T c h a m p y y / Silver 3 56LP / 18W 25L Win Ratio 42% / Alistar 7W 4L Win Ratio 64%, Irelia 4W 7L Win Ratio 36%, Katarina 2W 3L Win Ratio 40%, Talon 0W 3L Win Ratio 0%, Fiora.
Jul 15, · 4 visitors have checked in at BYTCH Party. Buy The BYTCH Book The BYTCH ( Building Your Trojan Creative Horse ) Helping take the fear out of entrepreneurs (The Research Departments Book 1) Read Kindle Store Reviews. BYTCH, LLC is a California Domestic LimitedLiability Company filed On April 21, 21 The company's filing status is listed as Active and its File Number is The Registered Agent on file for this company is Corporate Service Center, Inc and is located at 5605 Riggins Ct, Ste 0, Reno, NV 502.
Curly_bitch0 (@curly_bitch0) в TikTok (тикток) Лайки 344 Фанаты 33 Посмотрите новое видео от curly_b. Witchygirl “We properly met on the set of Harry Potter and the HalfBlood Prince, in full costume Helen with that white stripe in her hair, me with those black buttons and black contacts Helena was there too We had a scene with the three of us, nose to nose, having to look threateningly at each other. Rajat (@r_a_j_a_t_c_h_y) on TikTok 19K Likes 979 Fans Watch the latest video from Rajat (@r_a_j_a_t_c_h_y).
The World's most comprehensive professionally edited abbreviations and acronyms database All trademarks/service marks referenced on this site are properties of their respective owners. CHYKN (pronounced "chicken") is a fictional group in the WITCH comics and TV series, who were the Guardians that preceded WITCH In the comics, the group is not referred to as CHYKN but simply by the group's member's first names. S U L L Y W A T C H ( Fabrique d'Horlogerie Schulem Schaya / Sully Watch;.
And that's the way it goes 1 open your musicdatabase (iTunes, Winamp, Media Player, iPod, etc) 2 turn on shuffle 3 press play 4 for every question write down the song that. Secondary characters Boys Matt Olsen – Will's love interest, who sings and plays guitar for the band "Cobalt Blue" During the Trial of the Oracle story arc, he becomes aware of WITCH, and after Will tells him of her secret, their relationship progresses Later, during the New Powers arc, the old Oracle Himerish secretly makes him an emissary of Kandrakar and WITCH's tutor for the. La ChauxdeFonds, Gentleman's Calatrava Style Gold Dress Watch 161 Men Circa 1945 Description Manual winding 15 jewel FEF sub second Swiss Hallmarked Yellow/Pink Gold.
Idk man Miami FL 13 Followers Stream Tracks and Playlists from 💖💛💙g a y b i t c h💖💛💙 on your desktop or mobile device. NORWICH (K)Nickers Off Ready When I Come Home Terry Pratchett parodied this briefly in his Discworld novela AFK Going Postal His acronyms included LANCRE and KLATCH ( Lancre and Klatch being two locations in the Discworld), although these were never officially expanded. W O M E N ' S E C O N O M I E C U R I T Y C O M M U N I T Y W A T C H C H E C K L I S T Are there laws that reduce women’s access to legal abortion care?.
Is the Title X funding level in your state keeping pace with the need for Title X related services?. I was a huge fan of WITCH when I was a kid, I'm Italian, after all, I grew up with that They were one of the first things I ever drew, so I did them in my actual style Former Guardians and New Guardians, matched together with their powers Top Taranee and Halynor (fire) Tara was my favourite Topleft Will and Nerissa (energy, let's say so). T I N Y K I T C H E N Toggle Sidebar March 17, 17 March 17, 17 Tropical Kiwi Avo Smoothie Continue reading.
Jun 21, · ~ M y S w i t c h I s B r o k e n ~ mxxndqnce 293 Follow Unfollow 3px arm (Slim) Background ~ M y S w i t c h I s B r o k e n ~ mxxndqnce 293 Follow Unfollow Posted on Jun 21, About 9 months ago 433 142 3 11 The glitched (and also fixed) version of my Nintendo Switch girl skin!. S e m e s t e r h ou r s of F i t c h bu r g S t at e Un i v e r s i t y c r e di t t ake n w i t h i n a y e ar pr i or t o t h e c an di dat e ’s adm i s s i on m ay be appl i e d t o t h e de gr e e pr ogr am w i t h t h e appr ov al of t h e pr ogr am c h ai r pe r s on A n y t h i n g ov e r 12 c r e di t s pr i or t o. Oct 01, · WITCH is a French animated television series based on the Italian comic book series of the same nameLike the comics, the series follows five ordinary girls Will, Irma, Taranee, Cornelia and Hay Lin, with magical powers over the five elements Water, Fire, Earth, Air and Quintessence who become the new Guardians of the Veil For details about characters see List of WITCH.
1 0 jnt j H n n n y t c H c H n e ω ω ω g yt cos2 π 1000 from ECE 307 at California Polytechnic State University, Pomona. G l i t c h y Impossible Fur Following Friends Follow Unfollow Chat 3658 Reputation 92 Following 84 Followers Bio Since Apr 19 (2 Years) (pfp was a gift by a lovely artist) Hello I am a girl who has a average life, like the most of us🥀. Apr 15, 21 This Pin was discovered by ☂♔♡☆Tooru Oikawa☆♡♔☂ Discover (and save!) your own Pins on.
How many women and girls are served annually via Title X funded providers?. Mar 05, 21 · Full WATCH ~ Coming 2 America 21 Movies HD Follow Prince Akeem Joffer is set to become King of Zamunda when he discovers he has a son he never knew about in America — a street savvy. Life soundtrack thing by MITCHY, journal life soundtrack thing Mar 23, 08 Soundtrack of your Life If your life was a movie, what would the Soundtrack be like?.
Oct 07, 13 · This song represents an allusion to Jay Z’s “A Week Ago” from Vol 2 Hard Knock Life about how once friends, are as Jay said it, now “dropping names” and how rats are trying to.

Ciegno Manetki Y S H T Ch 5ft M C 042 05

Activated Carbons From Hydrochars Prepared In Milk Scientific Reports
Solved Y C I G C F Yd Yd Y T I H R R G M Y Is N Chegg Com
Y Tch C のギャラリー
Wykretaki Do Zerwanych Srub Wiertla Yato Yt 0591 Brzesko Allegro Pl

Schematic Diagram Of An Endoreversible Carnot Refrigerator T H X Y Download Scientific Diagram
Wydawnictwo C H Beck Youtube

Strona0019 284 29 Jpg

Yato Zestaw Sciskow Srubowych Typu C 3 Cz Yt 6419 Opinie I Ceny Na Ceneo Pl

Yato Palnik Gazowy Do Lutowania 360 Z Piezo Yato Yt Opalarki I Palniki Anteks Sklep Internetowy

Separator Do Hamulcow Tarczowych 10 65 Mm Yt 0610 Yato Tim Sa

Solved Find The Charge On The Capacitor And The Current I Chegg Com

Solved Which Of The Following Equations Are Separable A Chegg Com

Zestaw Kluczy Oczkowo Gietych Yt 0252 Meganarzedzia

Copyright Pearson Educat See How To Solve It At Qanda

Chapter 4 Integrals Complex Integral Is Extremely Important

Narzedzia Do Warsztatu Yato Separator Do Hamulcow Tarczowych 0 65mm Yt 0610 Opinie I Ceny Na Ceneo Pl

Chapter 4 Integrals Complex Integral Is Extremely Important

Intermediate Macroeconomics

Liraglutide An Overview Sciencedirect Topics

Differentiating Vectors Using Chain Rule Textbook Clarification Mathematics Stack Exchange
Ch Yt Youtube

Compatible Toner Cartridge Crg 732 H For Canon 6264b002 Black

Chord Ruby The Apache Relay Tab Song Lyric Sheet Guitar Ukulele Chords Vip

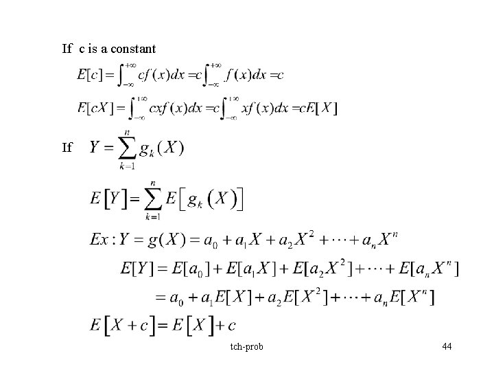
Chap 3 Random Variables The Outcome Of A

Eul5hzuaw7naxm

Y Mx C High Resolution Stock Photography And Images Alamy

Molecules Free Full Text Temperature Effect On The Adsorption And Volumetric Properties Of Aqueous Solutions Of Kolliphor Elp Html

Yato Opalarka 00w 70 600 C Akcesoria Wyswietlacz Lcd Yt 293 Swiat Narzedzi
Zestaw Koszulek Termicznych Z Cyna Yato Yt Tarnobrzeg Allegro Pl

Yatour Samochodowy Odtwarzacz Muzyczny Mp3 Dla Volvo C70 Usb Radio Sc700 Sc801 Sc805 Sc811 Sc6 Sc901 Usb Sd Aux Samochodowy Adapter Audio Yt M06 Sd Aux Yt M06 Yatoursd Bluetooth Adapter Aliexpress

Total Synthesis And Complete Configurational Assignment Of Amphirionin 2 Chemical Science Rsc Publishing

Unconventional Monetary Policy In A Nonlinear Quadratic Model

Intermediate Macroeconomics
Yt Duzy Sciagacz Do Sworzni Kulistych Olesnica Allegro Pl

Pdf An Open Framework For Participatory Pm2 5 Monitoring In Smart Cities

Kolba Lutownicza Yato Yt 72 Temperatura Robocza Do 500 C Kupic Teraz

Basic Dynamic Elements Online Presentation

Lampa Warsztatowa Do Oswietlania Komory Silnika 1 Led Bezprzewodowa 7 2v Yato Yt C Port Narzedziowy Narzedzia Hitachi Wiha Mirka Sklep Koszalin

Cifrovye Izmeritelnye Kleshi Yato

Yato Zlewarka Do Oleju l H 500 1650mm Sr 4mm Temp Rob 30 80st C Yt 0718 Ceny I Opinie Na Skapiec Pl

Papier Scierny C Arkusz 230x280mm Gr 100 Yt 53 Yato

F 6 Pdf Darmowe Pobieranie
Yato Sciagacz Do Sworzni Kulistych Yt Bialystok Allegro Pl

6 Most Important Spelling Rules You Need To Know 7esl

Hw 08 Solution

A Scalable And Secure Rfid Mutual Authentication Protocol Using Ecc For Internet Of Things Naeem International Journal Of Communication Systems Wiley Online Library

Boycedi Prima 10 Th Ed Ch 10 8

Solved Find The Charge On The Capacitor And The Current I Chegg Com

Vit C Cream 24h Hurtownia Abacosun

Solved 2 4 16 The Unit Impulse Response Of An Ltic System Chegg Com

Gate Ee 09 With Solutions

Answered Let Y T Be The Solution To Y 2te Y Bartleby

Solved Consider The Following System For Discrete Time Fi Chegg Com

Basic Dynamic Elements Online Presentation

Solved Question 10 A Curve C In The Xy Plane Is Traced O Chegg Com
Alex H Youtube

Pdf Advances In Silicon Based Millimeter Wave Monolithic Integrated Circuits
Handball Hc Berchem Youtube

Pdf A Review Of Research On Technology Assisted School Science Laboratories
L I I F L K Y F O E O O

Narzedzia Do Warsztatu Yato Sciagacz Do Sworzni Kulistych 60mm 100mm Yt Opinie I Ceny Na Ceneo Pl

Answered 5 Consider An Lti System With Transfer Bartleby

Solved 1 The Signals Given Below Are The Input And Outpu Chegg Com

An Improved Method For Precise Genome Editing In Zebrafish Using Crispr Cas9 Technique Springerlink

How Do We Know Methane Ch4 Is Tetrahedral Master Organic Chemistry

Kolba Lutownicza Yato Yt Temperatura Robocza Od 450 C Temperatura Robocza Do 1300 C Kupic Teraz

Scisk Stolarski Yato Yt 6423 Sciski Comarch E Sklep

Ciegno Manetki Y S H T Ch 5ft M C 042 05

Toyota C Hr Po Liftingu Dodanie Nowego Silnika Wyjdzie Jej Tylko Na Dobre Autocentrum Pl

Scrabble Word Finder Scrabble Cheat

If Q H K Is The Image Of The Point P X 1 Y 1 W R To The Strai

Remote C H Functionalization Of 8 Aminoquinoline Ring Springerlink
Synthesis And Characterization Of 2 T Butylimino Functionalized Indolyl Rare Earth Metal Amido Complexes For The Catalytic Addition Of Terminal Alkynes To Carbodiimides The Dimeric Complexes With The Alkynide Species In The M H1 H2 Bonding Modes

Chce Byc Kowbojem Dziecko Czarny Bialy T Shirt Dla Mezczyzn Kobiety Kowboj Krowa Chlopiec Winorosli Dziecko Kowboj Dziecko Smieszne Meme Minimalistyczny Tekst I T Shirts Aliexpress

How To Properly Use Configure Yt Gem Stack Overflow

Recurrent Neural Networks Ppt Download
Hc Kids Tv Youtube

Materials Free Full Text Effect Of A Trace Addition Of Sn On The Aging Behavior Of Al Mg Si Alloy With A Different Mg Si Ratio Html

Chwytak Teleskopowy Z Magnesem Udzwig 2kg Dl 750mm Yt 0661 Yato Tim Sa
1 Vytah

If A X Y B A H H B C X Y Then Abc

Intermediate Macroeconomics

Answered Dy A Dt 2y T X T Dy B Dt Bartleby

21 Economic Growth The Financial System And Business Cycles Ppt Download

Lampa Warsztatowa 60 1 Led Bezprzewodowa 7 2v Z Hakiem Yato Yt 0852 C Port Narzedziowy Narzedzia Hitachi Wiha Mirka Sklep Koszalin

Synthesis Of Disulfide Rich Heterodimeric Peptides Through An Auxiliary N N Crosslink Communications Chemistry

Gda Sk K Wkro Viii Uza Dniohy Amania Prawa Pdf Darmowe Pobieranie

Conformational Design Concepts For Anions In Ionic Liquids Chemical Science Rsc Publishing Doi 10 1039 D0scj

Yato Zszywki 12x11 3mm 1000szt Yt 7054 Narzedzia Krab Pl

Chord Wasted On You Bleached Tab Song Lyric Sheet Guitar Ukulele Chords Vip

Chic Ism Cd Album C 1992 Europa Chic Winyle Online
Solved 2 18 Find And Sketch Y T X T H T For The Chegg Com