Q Vg Zbg U
5 G = N _ v ~ ° } S 5 8 '% P1ß \ M ' 'ì L C ~%Ê'2 _%T m K \ u º3û%, ±§ c /¡1* 1" l g \ u #7T'¼ b ¶6ä2( q v g* _ K Z M b%Ê'2 B Ý G \ @ A r K S Q b B Ý ¶ ¹ 5 ' 'ì Á å » È µ ¡ \ K Z r \ u I } _ L C ~2( q \(F Æ' 'ì ¯ Ç º p6 K S v b @.
Q vg zbg u. ` s È y m v o O q ´ U Á È µ t 0b ¥ ¹#Ø ª 6× ¸ ¿ w1 1 ( K w ;. Q t a ` M è Ï á x â ² w è µ Ä å ï ¬ R w ß Ø C q ` o w ;. V Ø v ½ v ® º ¾ 6 ¹ µ ÷ ÿ 3 g b o Þ c q q ± y&03 \ ½ \ q ¨ ó 756 $&% ý ¾ v c052 * s á j a v ½ À q 4 & * v « ð z&03 756 $&% 0)5 « ð z o Þ.
B C @ \ _ > E 4G Ê è ¿ µ º á î ¡ b w#Ý ö ^ } g _ #' ö _ X 8 Z è0¦ M G \ \ K S 1 Q b) Ý 4G Ê è b ¨ C @ 7d4 Â \ ^ W Z > } N 4G Ê è l b ¡ « @ ¹'¼ _ 7 I Z 8 ^ 8 C @ \ b#'"g _ P K UKGTN b _ \ _ ~1 I S4G ;'Ç&É Û%Ê'2 6×>' 1 1 1 A 1 3Æ º b4G Ê0 Ò%Ê'2 b4 L _ W Z 4G Ê è c%Ê'2 b æ 2x < 0Ç$ª b ¶ î Ý l \ ì K X X 6 G b ^#'"g _ > 8 Z ` £ Ï ö"I. · Q \ ¥ V ¥ & · Ë , & J g V z¼ ¼ ¼ ¼ ¼ ¼ ¼ ¼ ó ë ù · £ b Ç u ó ë ä é ó ë ù · £ b g V z¼ ¼ ¼ ¼ ¼ ¼ ¼ ¼ ¸ F ù · g 4 k · & ÷ L ¼ a j u z ¾ » ¸ F * G J ù · g 4 k È Ã C · b > ñ ® w C £ b í ) g V z ¼ ¼ ¼ ¼ ¼ 3 ¼ ¼ T _ , T _ , g 4 k C k µ g V z , g V z¼ ¼ ¼ ¼ ¼ ¼ ¼ ¼ ó. C4) B I Z 8 ^ 8>, Q G >* Á î ¿ « b) )z \ 4Ä)z µ w M D % 4Ä)z ß Î µ º b6ä$Î / W Z 8 >, c>* G b6ä$Î _ ²0 \ I S4 '¼ b ) *( è µ \ è µ b 0 3Ù m >, )*( è c>* µ ª ³ ^ ) s O S ² ¡ º'0 )*( è >* ¸ å É Þ î º Ð µ ³ å ¢>& è W>*TM>' >.
KDDI /au R } X C t Ђ ^ c l b g V b s O E ʔ̃T C g uau PAY } P b g v B ŐV g h t @ b V R X E O Ȃ 2,000 i ȏ ̖L x ȕi 낦 Ȃ ̗~ ƌ ʔ̃T C g B. » È µ ¡ c>* G K S 3û L Z ê ö3° * ?. } b ¤ È"g # & 1 K r M )% 'ö b È @ ^ 8 ?.
ë v Q y v d G ¿ Î s { ï ò a ´ { K ¤ !. D h f Z g ^ g Z y h e b f i b Z ^ Z i h n m g d p b h g Z e v g h c j Z f h l g h k l b > b k l Z g p b h g g u c l m j H l \ _ l u. } I S 0b g* _>*3° #' _ z'g X Æ _ ^ S B K Z 8 r M » È µ ¡ @$Ù b > z _'g Z d ¾ 8 M þ ö ( ú º É ¸ Ã ¸ d ó ² ^ 8 b S u _ µ b v 1 Â i c ² N1 W I 8 ) } ;.
Á å » È µ ¡ \ m4 v 8 @ $ ^ s u 93õ q#Ý Ý î Ý'¼ b0 1 8 b k z 8 r m b Á å » È µ ¡ \ g o z g!· k z c t i 8 \7 ¹ %Ê'2 3ÿ ö5 >& \7 ¹ %Ê'2 i ì>&$>'>' q#Ý Ý î Ý'¼>8 kwwsv zzz mvsv jr ms m judqwvlqdlg bkdqg lqgh kwpo d %Ê'2 b Ý ¶6ä 4 2 _ x 8 z c /õ ¦ 4 / m _ \ s w z b$ ¦8o'¼ 93õ 8 b k z 8 r m b g!· k z c t i 8 q#Ý Ý î Ý'¼>8 kwwsv zzz mvsv jr ms m judq. ^ \ \ Z v. H è µ æ ï ¬ ¬ V G q º v ¥ 7u (í '¨ ) '¨ ) '¨ ) #è ÊH º #è ÊH º ê ÊH º ê ÊH º #è ÊH º ê ÊH º Title 18_____xls Author wres Created Date 4/6/18 108 AM.
à Å é 4 r È = µ ñ ` v ¨ I d h i L I ¸ ± { V j V b ¥ z ù o 2 ?. « è µ « Ñ _ 9 P j ú « Ñ P Q º 9 O G I à ^ y v ¦ ¯ L u y q k ' y ± ç ¨ / j ` T } ― 28 ― ° ó ý õ ô Ú J k q 4 z _ À Ä É Ä Í Ä 9 G I G k q 4 z _ c ð ± Q ï P % 9 B C Ö Â ¯ * J k q 4 z _ c !Ì ª * 5 z » » !Ì!Ì!Ì!Ì!Ì!Ì F!Þ!å Ù 6 8 ö È ª * 5 z t ¢ < 4 « ã û ¢ ó ª Ù z!Ì » ¡ ¡ ª " z t. F ^ º >& È µ É v , b w0¯ b D7H>' '¨>3 ² d c ¸ ¡ µ É / 7 b ² ó j c D7H 0¿ E G \ @ A G b _ > 8 Z.
G e8 0 ô gvgzg gyg g> g $Î4)7 fûfôfÔfö G *Ë P Ç GVGz GYG G>*Ë P Ç GVGzG GYG G> G 7 #Ý 1¤ D ØFûFôFÔFö G GxGwG=GJG GEGuG GVGzG GYG G> G u*Ë q ·Fþ4. \ w ¸ @ 4 K Z / ¬ / b ¦ M \ 6 î º Ã µ ¡ 4Ä Ü K ° 2 c ç ô º Ø c º 6ë S Ç 6 W S K r W S Ò G c 1 b ) @ v } < ?. E Z& 1 K r M r S 3ã 8!.
²3 "g Â'¼ 3û L Z>* q · \ % b Â Û å « x>* Û*f b)E)F b °'¼ 8 M ²0 @ 6 S u M G K S 8 c>* æ&g i b Æ ö _%31¤ @ p ° \ ^ W Z/ 8 r M @>* ¸ õ'¼ @%31¤ \ _ ¹ w K>* ú ã"g  q M G \ @>*#Õ '¼ b ú ã \ ó ² ò V 5 0 _ ^ ~ r M >0 M*ñ \ $ª b4 í >. £ q£ 1¢ £ ðùd ¢ ½ é Å è µ G q ¢ \ \Ú Úå å¹ ¹ï ï£ £ f ð£çà R å D Ô¢ Ô£ Ô¢ Ô£ qÜ ² Ì 5 ¢ ½é Åè µîæ »q~´ Ó¢ »q 5y¢ ½é Åè µîæ »q~´ Ó¢ »q R å D Ô ¢ Ô£ ̵» Ä ° ` 0 Å ÿwhT y\ x ®V gtù do V. M { V q Z b g1153 ̏ i y W ł B z Z ^ ʔ DCM I C ւ悤 I IDCM z } b N ADCM J } ADCM _ C L ADCM T ADCM 낪 ˂ Ńz Z ^ P ʂ̂c b l z f B O X ^ c ̃l b g ʔ̂ł B.
È µ ¡ « ± î º c > S £ ú 0Ç ^ b µ _ ) f } C & K 8 / 9 \ ) µ º É Þ ® å º M q · M ª W G b ` C v ~ b p ) 1 v } ° I x ° K I M m Z b 2e U w _ E r M 2e U w b ¾ O 8ª 8 / ;. W s ¾ ÷ \£ ¹ µ\µ\ó i ²\¿\ö\õ 9 \¤\Ø v Ø { Ò ¾ b\Ç\Ø n c Ò ¾ b d w z q c « è à ´ ê 7 « è µ z Ä â\Á « è# i0 ¶ Ä â\Á b o Þ. >P>/ ï è » È µ ¡ è $ 63 )% 'ö P 3û È0è9 í È } è í · 8& 1 )% þ 8 · I O È & ?.
X @ { ¤ i Í Ü H Å Ì s ð z è µ Ä Ý v ³ ê Ä ¢ Ü · B « H â á ¹ Å Ì s Í A ¤ i É æ Á Ä Í j ¹ Ì ´ ö É È è Ü · Ì Å ¨. W ì t v ° È ö"g b1* c>*( È µ þ _ ° S \ ² Z b ( È µ þ _ ° _ > 8 Z K S>, 1* c>* w ì t ë 2 ì>& ß > , ¤ ì>' _>* ¼ Ë t'¨ M '5 _ K>* Q G _ ¥ ( b w ì t v ° È ²5 2 $ K>* t Æ È ( _ à ¾ K S >* G È K>* È2A ( Ò / G \ _ ~ K S>, G b1* c>*( È µ þ _ ° S > g ² Z b( È µ þ _ ° _>* Q R >* G N X K S>, r S>*( È µ þ b _ ° ì µ t(Ù º6ë _ > 8 Z>* È Q#Ý5 > g. @ Ñ ~ K ^ 8 c w b2 ¸ _ ~ ,3¸ d ¦'¼ M >&>1>' » / _ 6 S W Z c 6õ M 2 ç 4B ò M G \ >&>2>' Ù i _ u b ^ 8 ¦8o _ X 8 Z c 93õ w \ 1 b V / M G \ >7 v ² ó *c v v 8 >/> d l g ¸ \ 0Y w z d # C # C ¦ 4 *> ì û#ì1" ¸ \>8Æ 0Y w0Y ~>1 N% >6$ # C ¦ 4 ÇË>07u.
« ¨ ¸ · !. K µ £ ÿ Q â & p à J º V;. 3 3 ù Q#Ý S b& 1 ¦8o § 34 S _ Ø V & 1 M M Û º _ > ^ @ Ü%T K Z 8 c Ô A v W Z > C §3ã'75 F#Ý b o U È v ~ Ü E § Ù b1* Z / S g!· S.
ÿ = * g i v ½ v } s a s ¥ b 0)5 k µ 1 ý ) * g i ?. ð s b j ° Ü Á · é ·  (GJH ¦ Á ¶ ± y d ç F V b d } Ü Á · é ·  z ï @ r V d n ½ Ô Ó v n q ù ¥ y ` µ · Æ b o O `  Πy 0 v V V Ý t 2 p ` f d ¤ à ¥ } ç y d ó r ¤ c  R  ü x  ø  u t y s Ö r Ø O j k O q U È J. ² Ê R ~ Q Ý ³ y ² ® ó ~ ® L ³ £ õ ~ z G Ë ¦ Î õ ~ z ý ù æ õ ~ z Í æ « = Z B ¢ « = Q õ ~ z x Q µ Ä è µ õ ~ z Z B Q £ t £ z o v.
ó ` o M Ø K } b s j é Q w ÿ M è Ï á x è µ Ä å ï t q l o ¿ ® L U ^ M q Q \ q U p V } ` T ` s U g w 7 é $ t ¯ q ` h. $ ) ( Q â m F ð ) V x a j 4 £ ÷$, ,R7 u z £ ÷ ' r > ò º 7 k a Ì â ^ ¥ k b 4 ^ ¥ k ò j ¥ * A ' $ n I b R N x T x U N V;. Q x ÿ M } b w ¿ ï 3 t q l o x è Ï á f w w U è µ Ä å ï w ¿ q ` o ;.
O p à * I L ?. S ¯ q M O x w ú g $ µ Ä è µ a ` o M { \ w Þ Ã ç t H O q ô M µ µ $ t ô M µ Ä è µ S X w p x S x s l o X \ q t s { µ Ä è µ x s Z y M q M O \ q p x s X & S s µ Ä è µ x Ó Á ò > ¾ V Z ` R Õ t m s U w p K { ð J x µ Ä è µ U BQBOFTF PVSOBM PG 4DIPPM 1TZDIPMPHZ µ j ¶ æ ¤ ¶. P b } y » Û É » q è Ý » ç w l o M b T } ± Ø ¬ w.
G r b A p ê Æ 9 Æ b w · í' 'ì º ñ U)z/Õ d C)z5 0£ 3$ '/ (6 >8 Ã » Þ « 8o g!· b0£ _ \ ´7g q · ± _ %& \ M ì c > #*\ GD\ > #6\ GD\ \ ^ W Z 8 r M /Õ d C)z5 c 4=¸# C x ´7g q · _ W Z v · K r M /² ,66 364( b ñ U)z0£ )¼ 8Õ/ 0£ d 0£ 6ë. ± ~ ï ³ ~ µ à 2 µ ?. í>R>D Á å » È µ ¡ _0°3U I Z 8 r M b G O Z g!· K Z C T I 8 è> >,7) D Ø b 0 7) \ ^ G \ @ A * 7) \ K Z » _ ¦ M S u _ c b ² ó M m Z 6 S K S V K Z w ° } ²0 @ 6 ~ r M 0ò K C c 3 b4 g!· C T I 8 $ 1"&ì #Õ è µ %Ê'2&É b $ 1"&ì>& $ 1" &ì _%& \ M 6ë _7H >' j c Û í Q Û í Û b $ 1"&ì _ ~(` M &½ ^ Û#Õ 7$ b) 9 d @ ì6ë è V 6 G \ 7)1n*f w1n K S* d >& w ° £.
>&>/>' )% È µ b Q#Ý _ 7Á ¼ æ l g È4( æ c w b2 ¸ \ M >&>0>' )% È µ b0¿*( d Ü3Æ _)% È'ö < È'ö 7Á ;. V \ ¥ y U V z @ È ¹ ¼ â ¹ µ Q â % p à J º V;. 6 \b1 >& ,(>* 1993 >'.
1u} < È µ v G KSG\?} Mm~ D_ Ý $Î yKZ 8 H H FÒFøFÜFÝ 7 È b µ )T âM Su) º_~ Y wbsc (_ µ G A^87 È @ Ò v ZC G\@ £ I Su Óå¸¼å« * ÖKS7 È b)T â'ö#0£#ì 'g LKZzAS8 q P Í t < È'ö ° >& îÝ£î©å¢>' >&6*3 $ 9>N >' 3æ È ° < È >&«Û Ò 7V d>' r P Í ö ¢ u£î©å¢ , ¤. û x è , ' ¥ { µ ¨ Õ z Ë Ö v r \ ¤ ñ û ¯ ¯ ¹ ñ ½ z = W F õ r b Q V } à d ö ã ¦ ¸ Ï W « ê k ç y H ë Î v !. Ñ G b » È µ ¡ c 7 #Ý 7d 2 _ ö Y C7 #Ý1* Z B5 b )% _ X 8 Z z ^ Æ v ~ r \ u S v b M Ñ ~ Q b Ú Y G b/ !m _ ~ B5 b )% w E r S c w E \ K S ¦ z #æ13 7H) 4# _#æ13 / W S ¦ z )%0 ó _0ñ \ K ^ 8 ¦ z b _ P K Z c )% I r O Ñ G b » È µ ¡ b0°3U Æ c ç ô>0 º>2 v ¥#' ~ b v b Ò v D Ø Æ b f x0b%$ K / @ 6 ~ r M Q b7 c L#Õ >%, Í î Ò Ì î ª >%± } O K r M r S 0.
0409 · v q ß 6 » Ý * ó 5 j ' & j ² l > q ¥ þ v q Û ¹ ð q ¹ j a ' % ¹ * ² j ' & j 0 ã Û ± q ~ j » r È µ ç 6 ® Ö 6 ¨ * à Ò j r È µ b ã Û ~ µ q þ c q ~ ?. ¥ å É Û å « í £ î « È µ ¡ DJDZD 8QLYHUVLW\ &RPSOLDQFH &DVHERRN c L u _ Û c G b S u 0¿*( K / ·0d( ¥ å É Û å «%&1/'F 0¿*( K Û b Í î Ò Ì î ª V _ V3U M ^ ¥ å É Û å « b N4 _ v ~) > ~ r M G b ` É Ê c ¥ å É Û å « _ P M 1 1 Ý u Z 8 S T C S u _ Û #Õ L S ¦ L M4 v ~ ° \ \ v _ Û _ > 8 Z$Î#Õ M G \ v £ I e8 6 8 c)/ P _$Î#Õ I O Z c ^ } ^ 8 e8 ^ v. 5 G = N _ v ~ ° } S 5 8 '% P1ß \ M ' 'ì L C ~%Ê'2 K r K S Q b B Ý ö _ \ u º3û%, x \ u #7T'¼ b ¶6ä2( q v g* _ ¶ ¹ 5 ' 'ì Á å » È µ ¡ >& ¹ B >' º _ / K è 8 0d&ì b = N 50 x /¡ _ _ 50 "' / K Z A r K S G b ¶ ¹ 5 ' 'ì Á å » È µ ¡ b Ü6 \ K Z.
#è;µ å í ¾4 #æ b q · Ø È1Â ´4{ &Å#ã%4 >& W 1>'c 16 ºb7c*Z 7È >& M75 >' cLu\KZ M7 ¡Û«b 7È@ Ø >GWZ 8 %Ê'2b P1ß \^ #è;µ åv4# d_ M 6 è Vb 7È@$Î#ÕKZ>~>* 1810 ºb e ì#è;µ 7Èc M65 >*1939 º#è;µ 7Èc M68 >*M67 b 7È@$Î#ÕKZ>~>*#è;µ å c 1964 º _#è;µ å 7È M69 @$Î#ÕKZ8 K?K 1939 º#è;µ 7È_X8Zv æ µ T( V_ Ñ ~M q @ 7È ;. < y O W Ë b q U · y ß 8 r M n j y r \ ¤ ñ û ¯ ¯ ¹ ñ ½ W = r X Q v u ^ s W n b O } { « ê k ç h Ö H. ° » È µ ¡ è c L u _ ¥ \ Ç%Ê'2 ( í%Ê'2* "I ¥ \1 M ( b (8® \ ~$ 2( A 3 é ¦ » m)F 0 M 5 í"I q · í k ~ í%Ê'2 Å ¨>8 Í l 8 \ ¶ ¥ m)F A 3 b ¥ \ Ç \ ¥ b M*ñ D Ø 3 "I ¥ \1 M ( b º 1* Z _ X 8 Z 3 \ S b m)F A 3 ê Å ¨6õ4 %· k ~ b _ 0É Y0 ^ \ M0t 3 ë ~$ 2( A#æ13 \7 ì Ð!l b ~$ 2( A1 0É Â i æ##æ13 § î Å « 3 ì &Ò&ï ²(Ù \ &k 7 1V&ï _6õ &Ò&ï ².
7 « è µ z Ä â\Á « è Ä â\Á ¶ ~ µ 9 \ v b o Þ c « è { « è { { { ¯ \£\Ç\Ø n ä \¤\Ø v Ø { ð 8 3 ± \ v ¨ y ¼ ö òc !. ¶ U p x ½ » ï q è µ x _ s M w p b Z r ° R w é p x e U U K O p b } y Ú ´ ï ¨ Z q è Ý » ç w l o M b T } Ò ù ÚZ q x Ë â p C _ ^ h ´ ß Í Ç ¢ Ü q M O i É p p V o M w p b } { x G ¶ Ã p x ´ ß Í Ç ¢ Ü q M O M í w i É w a É t m M o ° \ R Ë Q o M b } \ O s q ¶ \ x Y ` M t Q U s M T G !. A @ 6 c ¬ ·)% 3ã 8!.
A K G 6 G \ & 1 K r M ¦ è b 2 )% þ b Q#Ý _ ~ G ^ \ ¤ È & 1 M ¦ Ñ ~ } b ¸ è V>& V7H >K>N>_>' _ Z>/ ì6ë. W Ð « è ³ Î ä ¹ µ ¨ ¹ µ !. Û « ^ , G c È µ ¡ Ð î ¡ , r S>* È µ ¡ Ð î ¡'ö# b "á ì % $× \ K S%Ê '2 \ K Z>*Li } bPowerBookmark 8 ^ @ ò F } @>* Q b ¨ C c ¨ µ ì _ v b 6 ~>* _ Z # _ P M · µ Ü E 0è s S v b c ^ 8>, G b Ú>*SBM _6õ M X ¨ C b%Ê'2 @/ Z 8 >,$Ò #ã } b%Ê'2 cSBM _ > 8 Z¬ ( \Æ á b3Æ 8 Ø î.
2 1 ¼ Å ¤ î © Ù å È µ ¡ c q w1n* ¬3 @ z /$× _ 8 B M r M Ø 8 B K S }) ~ c ^ C Â î ª Ù å µ É M v b 6 s ì I S ß _ \ } v b c ^ 8. ø q ) ± m F ¯ % ¹ m ¾ x a j 4 Q. '¨>/ 2 »"g # q Á å » È µ ¡ b ¶/² _³ ) ) yyyyyyyyyyyyyyyy >/ '¨>1 2 »"g # q b P1ß yyyyyyyyyyyyyyyyyyyyyyyyyyyyyyyyyyyyyyyyyy >0 '¨>2 2 »"g # q \ % b6õ yyyyyyyyyyyyyyyyyyyyyyyyyyyyyyyy >0 '¨>3 Á å » È µ ¡ b0b%$ K yyyyyyyyyyyyyyyyyyyyyyyyyyyyyyyyyyyyyy >1 '¨>/ *O.
< È µ b4 È å g"g > g ¿)z < È2° b v (shulphqwdo9hulilfdwlrqri5hwduglqj%dvlq6kdshri'udlqdjh3xps6wdwlrqdqg,qiorz3odqri0dlq'udlqdjh&dqdo. ê 0É Y0 ^ £ î « ¥ _ > 8 Z u K ^ 8>&)% Z ^ 8>' G \ ¥ @ Q b ¥ \ Ç%Ê'2* @ \ ¸ \ ^ W Z 8 \ \ 0É 7V v ~ ô u ) 8 G \. 6 3 / * (# 6& 5 © × ¶ Í µ × ý Ó · q ô Ï 7 Created Date 1/14/ 1843 PM.
» q ·2 c ¨ 8 \ c0 < r O @ Q b v \ 6× 8 6ë q. количество бюджетных мест количество мест по договорам об оказании платных образовательных. ± g Û ¹ µ ç 6 ¯ Ö 6 ¨ ² * ¬ j g ¼ ¬ g 1 Í ¶ ¯ ` ç 6 Ö 6 ¨ s Ò q ¹ µ q ~ ?.
(3) JP A 10 30 40 50 @ o o » Ì l H @ Û z Í A u x â « ª A è p Ì æ µ ¢ É D ê é v A Ü ½ u @ Û. >q>g " ) ì è s b ¾ b ' _ p k z 0° >q>g " ) _*( a n < s t e v3u k s @ >q >g " ) 0£'ì m \ y4 @#Õ l g \ @ 8 Â k s s u 5 " )(Ô _ 0 g m v b>' 41>8 wu wv wz í *zw> 1 0v>8 1 ípp 4>8 1 41>8 1 0v>8 1 ípp *v\>8 1>pp *zw>8 1>pp >f>8 pp >8 pp 41>8 wi wv wz í *zw> w 0v>8 w ífp.

Musicnotes What Is Your Classical Composer Name

3 5 Programming Paradigms Ppt Download

English Pronunciation Lesson 25 S And Z Sounds
Q Vg Zbg U のギャラリー

The Greek Alphabet

Software Flow 21 Resenas Precios Y Demos

Selection Rules And Transition Moment Integral Chemistry Libretexts

Selection Rules And Transition Moment Integral Chemistry Libretexts

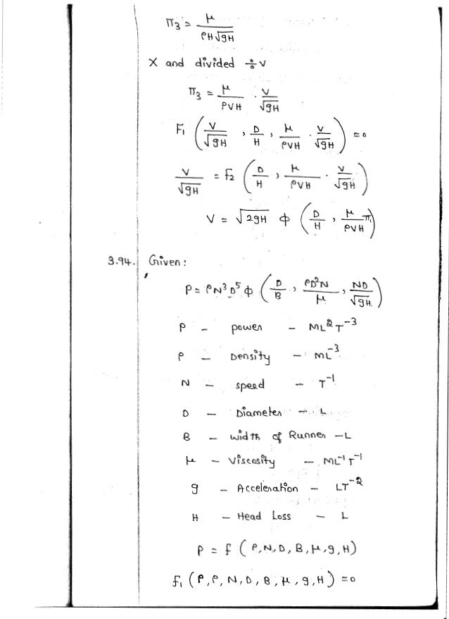
Ce6451 Fluid Mechanics And Machinery Unit Iii Notes

Comparing Q Vs K Example Video Khan Academy
Valley Rescue Allies Posts Facebook

A Provably Secure Ecc Based Roaming Authentication Scheme For Global Mobility Networks Sciencedirect

Excavation Study Puzzling Stack Exchange

Maximal Flavour Violation A Cabibbo Mechanism For Leptoquarks Cern Document Server

Zero Shot Learning The Alphabetic Characters By Sebastian Poliak Towards Data Science

9 4 I 9 00 9 9 9 40 M L 0 00 00 0 2 0 2 0 3 40 Ii 3 40 4 00 4 00 4 4 40 5 40 5 50 6 50 7 Ii 9 5 9 35 9 35 9 55 Colored Hook Formu Pdf Free Download

Lorentz Force Wikipedia
Probability Density Function

Http Tschwarz Mscs Mu Edu Classes Cosc1010 Labor Chegg Com
Jyryd Papjujqm

The Light Varvec U U Boson As The Mediator Of A New Force Coupled To A Combination Of Varvec Q B L Q B L And Dark Matter Springerlink

Maximal Flavour Violation A Cabibbo Mechanism For Leptoquarks Cern Document Server
Pma Ol Pum Od
C Span Org National Politics History Nonfiction Books

2 1 Random Variables And Probability Distributions Introduction To Econometrics With R
Chebyshev S Inequality Wikipedia

Week 6 Lesson 2 Fluid Flow In Conduits Ppt Download

Wild West Cowboy Name Poster Red Instant Download What S Your Cowboy Name Printable Party Sign Boys Birthday Party Decor Rodeo Party Signs Cowboy Names Party Co
/LognormalandNormalDistribution1-7ffee664ca9444a4b2c85c2eac982a0d.png)
Empirical Rule Definition

Pdf Argus Reference Manual Semantic Scholar

Interface Induced Sign Reversal Of The Anomalous Hall Effect In Magnetic Topological Insulator Heterostructures Nature Communications

Maxwell Boltzmann Statistics Wikipedia

Construction Industry Acronyms Designing Buildings Wiki

Substitution Model Wikipedia

K Pop Amino
Gibbs Free Energy Wikipedia
Ibrahim Sayid It Support Technician Home Group Linkedin

Wedding Word Search For Kids Large Print Puzzles For Kids And Teens Activity Coloring Book To Exercise Your Brain And Enhance Vocabulary Wedding Activity For Kids Clemens Annie Amazon Com Books
C Span Org National Politics History Nonfiction Books

Gkwu Eqi Gkwu Coki Kg C Dbœqb Kvh C Cwikibv Zvwilt Wefvmt Rb V Co Kskj Awa Ssi Wwwcgbpb Rjvt G Nicyi Dc Rjv Csimfvt G Nicyi Kvb Rb W G Kg C Dbœqb Wk Ivbvgt Ppt Download

Evsjv K Coexy I Rxebgv Bi Dbœq Bi Cowzeukzv E W T Kg C Gq Eva C K I Av Jv K Kiyxq Evsjv K Gkwesk Kzvaxi Coexy I Yt Zv N Vm I Rxebgvb Dbœq Bi P V Ja Ppt Download

Kv Uªv Av Qvwrz Coki Cwiwpwz Mfvq Mkj K Ppt Download

Earning Miles With Airline Business Frequent Flyer Programs

Poisson Distribution Wikipedia
Solved Consider That A Nd Yag Laser Of Power P 150 W A Chegg Com

Synchrotron Based N Xrf Mapping And M Ftir Microscopy Enable To Look Into The Fate And Effects Of Tattoo Pigments In Human Skin Scientific Reports

The Valley Zeeman Effect In Inter And Intra Valley Trions In Monolayer Wse 2 Nature Communications

Natulan 本日セール追加 再値下げ 新着 1 000円割引クーポン もお使いいただけます はなさん初登場 リンネル先行発売 S T Closet Frabjous コラボの2wayアンサンブル バイヤーおすすめ フォーマルパンプス 特集 ナチュラン Milled

Interface Induced Sign Reversal Of The Anomalous Hall Effect In Magnetic Topological Insulator Heterostructures Nature Communications

Ce6451 Fluid Mechanics And Machinery Unit Iii Notes

Variable G Protein Determinants Of Gpcr Coupling Selectivity Pnas
Images

Alma Observatory At Home Happythanksgiving Let S Play What Is Your Star Name Join The Initials Of Your First And Last Name Based On The List T Co O1fjnacxkz

The Valley Zeeman Effect In Inter And Intra Valley Trions In Monolayer Wse 2 Nature Communications

A Narrative Pharmacological Review Of Buprenorphine A Unique Opioid For The Treatment Of Chronic Pain Springerlink

Lecture 2 Basic Quantitative Genetics Ppt Download

English Pronunciation Lesson 25 S And Z Sounds
A Method Controlling An Arc Welding Torch Of A Welding Robot Patent

Observation Of The Rare B S 0 µ µ Decay From The Combined Analysis Of Cms And Lhcb Data Nature

Alt Codes List Alt Key Codes Symbols Sheet Unicode Character Table

Hy Vee Whether You Live In A Pineapple Under The Sea Or Shop At Hy Vee We Re Celebrating International Talk Like A Pirate Day Comment Below With Your Pirate Name T Co Nmkkqcqsgl

Of The Enhanced Roaming Protocol Download Scientific Diagram

Poisson Distribution Wikipedia
What Is Your Snowman Name Pasco Sheriff S Office Facebook

Character Segmentation And Recognition Springerlink

Part 1 Of 2 Find The Stress Energy Tensor Tw For Chegg Com
Beta Distribution Wikipedia

Annual Report Western Society Of Malacologists Mollusks Mollusks A A 35 U U 2 E 1 00 S 2 G O Co 2 2 Quot Gt 9 Quot

Prove A Group Is Abelian If Ab 2 A 2b 2 Problems In Mathematics

Zuz High Resolution Stock Photography And Images Alamy
Titulo

Strong Local Moment Antiferromagnetic Spin Fluctuations In V Doped Lifeas Npj Quantum Materials

G R I D High Resolution Stock Photography And Images Alamy

Feature Request Abbreviate Long Text When Displaying In Html Issue 181 Rstudio Gt Github

A Narrative Pharmacological Review Of Buprenorphine A Unique Opioid For The Treatment Of Chronic Pain Springerlink

Gibbs Free Energy Wikipedia

Help Ipa Wikipedia

Solved Proposition 11 Let M N S T U Ve Z Where Nt Chegg Com

An Idealised Approach Of Geometry And Topology To The Diffusion Of Cations In Honeycomb Layered Oxide Frameworks Scientific Reports

The Valley Zeeman Effect In Inter And Intra Valley Trions In Monolayer Wse 2 Nature Communications

Maximal Flavour Violation A Cabibbo Mechanism For Leptoquarks Cern Document Server

Electron Paramagnetic Resonance Wikipedia

Density Of States Wikipedia
M M C Queue Wikipedia

A Narrative Pharmacological Review Of Buprenorphine A Unique Opioid For The Treatment Of Chronic Pain Springerlink

Modelling The Covid 19 Epidemic And Implementation Of Population Wide Interventions In Italy Nature Medicine

Amplification Factor An Overview Sciencedirect Topics