Y Av Vg
DAC v A v @Illusion 2 @ J i 1,100,000 ~ i ŕʁj ͗A 㗝 X y W 藬 p Illusion II ͏㋉ @ ̃R Z v g ̂܂܂ɁA g ߂ɉ y y ݑՂ ׂɊJ ꂽ v A v ł B ㋉ f 2 ́i d ʒu j A d 1 ̂ɕς Ă ܂ A ㋉ f ɂ͂Ȃ 4bit/192kHz Ή DAC W A (RCA)/ iTOS) ~2 n AXLR ~1 n ̃f W ^ ͂ A f W ^ @ ƃA i O ԃZ ^ s X Ƃ Ă̖ ŒB ܂ B ܂ A ̃ f ɂ͓ Ѓv A v.
Y av vg. 🥑say if I've got good content🥝I hope I get big one day. A V X g ͐ S ʂƓ p ɃX s ` A p ̋ ŁA ͂ ÂȔ f ́A @ ͂ ߁A p I ȍ˔\ J Ԃ A \ ͂ コ A B ꂽ ́A \ ́A ˔\ o ͂ Ƃ Ă ܂ B. Y2 ̓X } g t H A v ̊ E J Ђł B ЊT v E Ɠ e E ̗p ȂǁB Y2 ̓X } g t H A v ̊ E J f ECG s Ă ܂ B Ж @ Y2 i Y2 Co,Ltd ).
19 N4 5 4 21 23 @C T ~ b g J Ái { Q \ j 6 ɊJ G T ~ b g ɐ 삯 A s Љ W ܂ A G c Ɏ n ł C T ~ b g iCivil Summit j 𓌋 ŊJ Â ܂ B d h ~ ƕ ł́A g X y A V E C ^ i V i S ƂȂ C t A v A ʂƕ s A v ʕ ɂ Đ ܂ B g X y A V E W p ̎ ш I 21 o d \ B Ђ Q B \ ݂ ߐ. D y s G ʃ o n A v Ή W ~ g / F B T /ranking T C g/ f Ȃ / O / ^ SEX/ c C b ^ / v / L o N / ȏ / /M j/ j o ^/ Љ T C g/ \ V l b g N/ o T C g/ v C x g/ N X } X C u/ p g i / I C ^ Y / X/18 Ζ /au/kiss/ b `/ ۂ / Y Ȃ o / K / p \ R / o T C g/ o n f T C g/ o SNS/ G / l b g A C h / D / l 炵/ G ʃ / / G /H T N / Ǝ w/ L X/ / o n R ~ j e B T C g/ / ϑz/ T N Ȃ / / Ζ / z/ o nSNS/M. 㔼 AChapter6 ̓Z O G g V ړ n ܂ ܂ B ł͊̂ł r R g ƃV ̊W T ܂ B Chapter7 G f Q g ł B f Q g g R ނ̃T v g āA 킩 ₷ } ʼn ܂ 傤 BChapter8 9 ͎ @ e X g ̎葱 Ǝ w т܂ BiPhone V F C N ĉ 炵 A n } ł̒Ǐ Ȃǂ ܂ BChapter10 A11 ͂ 悢 ŏI i K ł B A C R ݒ ⑽ ւ̑Ή AAd Hoc e X g AApp Store Ƃ̔̔ _ A A v ̃A b v h ւƐi ݂܂ B.
Y y y 2 ;. · AVG 012 Serra de Sanxo (Alicante) y AVG 051 Serra Grosa (Elche) Serra SanchoSierra LargaSierra GordaBarranco Grifo Hiking trail in Parque Industrial de Elche, Valencia (España) Download its GPS track and follow the itinerary on a map Hora Inicio 01/05/17 0801Hora Fin 01/05/17 1424Distancia recorrida 32,3 km (0623)Tiempo en movimiento. L P A v W F N g 152 @ { 茧 { s @ @ w ؉ԑ k3 94 Ԓn43.
IOS/Android ̊ ƌ A v J A z y W ̃ C g j O h T C g ł B T C g V > s c J 4292 TEL / FAX. ú ¤ z Ì ¸ Æ Â v u y v Q A ë l ú F â þ g  u Ä Õ È E ·  B > ¤ B > â V í Ä m R B > ¤ B. B r o o k d a l e r d p e n d l e t o n n s t mo n te r y av c h a s e s t w e d d in g to n s s tag g rs t w i c k s s t n a n a o m i e s t t e l f a i r a a v l a.
ڊ Y O A V J E \ Y Ŏʐ^ B e B X } z iPhone ̎ Y \ ő Ɉ o A w v ̍ \ p Y ̗p B 𑜂łȂ c ݂ A ɒ Ǝ ӕ ̖ Í Ɍ ܂ŗ} A ō 掿 ̌ ڑ A _ v ^ ł B. Y a v e s p r i n g l a k e d r r i t e r c t m a r y l a d v e w o o d s a v e j a c k s o n c t single ton c centra lb vd h a y d e n n l n s e m i n o l e a v e n u g a r l a d a v e w j ef r son t w concord st a li ng ts p t m a v e w con rd st w j ef r son t b os nw l callahan lake dot h old en/p a rm co l eg park ocps ace 4 fdle amway c. · sd (PSSM ID ) Conserved Protein Domain Family Kelch, Kelch repeats are 44 to 56 amino acids in length and form a fourstranded betasheet corresponding to a single blade of five to seven bladed beta propellers.
Y 4 u y ( C Æ Ú y # u v r ø = â ® ¼ y V ø = u y = O v d ^ s W. GavByi (@gavbyi) on TikTok 550 Likes 2 Fans Watch the latest video from GavByi (@gavbyi). ø þ Q J Ü J ô ¦ ú y C G ¿ ¥ Á è · Æ v o O q { ø = â ® ¼ y V ø = â ® V d j v è Q ø = â ® y # Í z V Á q y û i & u d = y a V P ¤ ?.
S t r e e t w e s t w a y n a 4 0 u n d e r p a s s s u s e x g a r d e n s e n t ’ s p r i n c e a l b e r t r o a d n e w c a v e n d i sh p h a v e n u e t s t. View Entire Discussion (0 Comments) More posts from the NATOWave community 166. K a r c h G o y a v e, Cadereyta Jiménez 9 likes · 10 talking about this Accesorios.
Y E J ˎR Y A V X g E ϔ ^ C v ̎ Y o ܂ A i ꗗ. S } N A Јē A ` V A p t b g Ƀz y W ̃f U C B R g f U C ́A Ђ̊ ƃC W i E i E T r X ̂ ڋq ɓ` d v ȕ @ ł B Ȃ ̉ Ђ̌ o A u ЂƂ͈Ⴄ I v Ƃ C W ̍ ʉ } R g f U C B. T i ӂȂ j a v H X z y W ւ悤 I _ ˎs 𒆐S ɕ Ɍ E E ޗǂŐV z ˌ E Z E t H ȂǕs Y Ȃ t H X ɔC I I v n E X D { I JIO Z ܂ ̕i D ǂł Ƃ āuJIO i D ǃr _ ̏v ̃v g ܁B.
2506 · R A q ~ A Ўs ̕s Y E ݁E Ǘ E Ƒ E t H ̎ Ȃ犔 MTC A V X g ɂ C B ̓x ͕ Ђ̃z y W ܂ āA ɂ 肪 Ƃ ܂ B. E _ e q ̎ Ə p g ^ T g B Y ߂ 2 ( p ) Ƃ 10 N ɑn { { o c R T ^ g u A V X g2 ځv ̃E F u T C g ł B. U A \ ƃ A v TV A j L O āA3 29 i y j 蓌 r b N T C g ŊJ Ấu ۃA j t F 008 v ɂāA X ^ v J Ì I @ ЎQ ē ~ ɓ ĂˁI.
Servicio de Atención a Mujeres Víctimas de Violencia de Género (SAVG 24 Horas) Servicio especializado en atención de emergencia y protección a las víctimas de violencia de género en el ámbito de la pareja y expareja que atiende en primera instancia y como dispositivo referencial de primer nivel y de acceso a otros recursos que configuran la red especializada. ₢ 킹 F @ @ o C ^ C Y @ A \ V G V @ @ _ ސ쌧 s o 2851 16 @ @ @TEL É x. 2 A < V Y E H <.
°mug°shot° (@swaggy_videos) on TikTok 519 Likes 131 Fans BLM!. Y v 싅 A W A V Y Ƃ́z A W A V Y iAsia Series j Ƃ́A A W A ɂ v 싅 ̍ ی 05 N ɑn ݂ ꂽ B N10 ɊJ Â B ɂ͓ { i { 싅 @ \ E { V Y D ` j A ؍ i ؍ 싅 ψ E ؍ V Y ҁj A p i ؐE Ɩ_ A E R j A i 싅 O E O I j ̊e O D ` 1 푍 ̃ O s A ̌ 2 ` s B D ` ɂ 5000 ~ A ȉ 2 ʂɂ 3000 ~ A3 ʁ ʂɂ ꂼ 1000 ~ ̏܋ B. G R A V I T Y dust 80x80 32”x32” RETT 1x1 48”x48” RETT 100x100 40”x40” RETT 50x100 ”x40” RETT R 10 R 11 V2 8,5 mm 1/2 10 mm 3 /8 60x60 24”x24” RETT.
G A L A X Y W A V E Close Vote Posted by just now G A L A X Y W A V E 0 comments share save hide report 100% Upvoted Log in or sign up to leave a comment Log In Sign Up Sort by best no comments yet Be the first to share what you think!. = 1 2 M x x x 2 = B(x ,y ) 2 2 ו A(x ,y ) 1 1 הנקודות בין d המרחק 2 2 d (x x ) (y y ) = − − 2 1 2 1 m2 מאונכים זה לזה אם ורק אם − = ⋅ 2 1 1 m m m1 ו, שני ישרים, בעלי שיפועים R ורדיוסו), a,b) שמרכזו מעגל משוואת 2 2 2 (x a) (y b) R − − =. Title Microsoft PowerPoint æ çµ ç _å ç´ _æ··é åº¦æ¤ ç ¥_ç ¾å °æ ²ç¤ºæ _pptx Author.
Share your videos with friends, family, and the world. R g Z t B b g s u q S W U 9093 u b N ~ V o o { V Y o { V Y p i ȂǃX c p i ̒ʐM ̔ s Ă ܂ B t W X c @3,150 ~ ȏ ő I @ N x I I. G R A V I T Y baR, Chaniá, Greece 2,462 likes escape in GRAVITY bar.
L P A v W F N g 152 @ { 茧 { s @ @ w ؉ԑ k3 94 Ԓn43. Fast way to export Page Help URL – script inside By Kris April 26, 21 BCdevTips 0 Comments Last week I needed to check if all pages in all my AppSource Apps have proper links for online help (as you know you need to add online help to your. · M y N A V B l o g com Menu About me and blog;.
Minecraft free download full version windows 7 offline Loading. V Ö 4 « ½ ´ í µ ã ¤ ¼ ¤ s ã ê ¯ ¹ N V L ³ ê y 2 s ã ê ¯ ¹ ¦ õ ¹ N V L ³ % < O x M Ü 4 « ½ ´ í µ ã ¤ ¼ ¤ Ù ¯ ¹ º û I \ × 2 ô ü J Í × 2 º û M 6 % < O x M V Ö 4 « ½ ´ í µ ã ¤ ¼ ¤. 56k Followers, 698 Following, 716 Posts See Instagram photos and videos from S Y L V I A G A N I (@sylviagani).
A A i Y P O O j A V g j O A A i Ă ؓ j A ӂ ܁A A i p j A I c t N A E A e ҂ 茺 āA S A G L X A H A L k Đ J V E A c ܁i d Y _ A j E E d j A N G _ S i g E A ܁i 哤 R j. I’m an editor that just entered this big beautiful world ), I’m still working on my craft doe c Hope u like them, If u subscribe it can really help out my channel ). 329k Followers, 7,496 Following, 4,198 Posts See Instagram photos and videos from G a b y C h a v e z (@gabychavez86).
Ȏv a ̊ Z B ꂪ1,390 ~ 猚 Ă 鍂 i E E ቿ i O s A V Y ł B g ̗ǂ W X g T C Y Ƌ@ \ I ȊԎ 背 C A E g { v ɁA I d i L b ` E E g j A z V X e L b ` A z V v h b T A ωΐ ɗD ꂽ ` k b p l O ǁi w x C g j A W ނɂ 拭 ȍ\ A C T b V k E y A K X W d l Ƃ č̗p ܂ B. Il y a 779 mots contenant v et y anevrysmal anevrysmale anevrysmales anevrysmaux anevrysme anevrysmes aveyronnais aveyronnaise aveyronnaises avoya avoyai avoyaient avoyais avoyait avoyames avoyant avoyas avoyasse avoyassent avoyasses avoyassiez avoyassions avoyat avoyates avoye avoyee avoyees avoyer avoyerent avoyes avoyez avoyiez avoyions avoyons ayurveda. J k b f 0 v 2 Ú & Â A v ¶ r y # ê F ` j ¸ ^ W Q d Ö û y & Â r z ° 2 Ú v ¾ T y ² C d } à I Ü H « á ñ Ï · y & Â v d ò O û f z ¯ Á _ ¤N\RXPXND#WVF DF MS ¥ v U ( O b d } ´ B G « á ñ Ï.
M = u,x yE A β,x y d 2 EA d yε d oEA X$ yE A d = 0 % F = u,x EA d εoEAd M = β,x y d yεoEA 2 EA d # DS = EAd = stretching rigidity D = y2EAd = bending rigidity B Fo = εoEAd Mo = yεoEAd) F = DSu,x Fo M = DBβ,x Mo τ= Gγ= Gv(,x – β) V = GγdA = G(v,x – β)dA V = (v. E Á Y o Z } vK o Y o v u E Á Y o E u h Z µ } v ð ì î í ò ì D } v } u } Z î î í õ õ ð ì î' î' í õ õd ñ î^< ð ì'Z ð ì' ð ó ñ ìs ñ í>.

6 4 Drag Force And Terminal Speed University Physics Volume 1

Answered For Z 13 Dt F X Y X G T Y Bartleby

Amazon Com Hularka Woman S Micro V String Panties Low Rise Y Back G String Bikini Thong Underwear Nightwear Black Medium Clothing
Y Av Vg のギャラリー

Tlh G R Y 540x Datasheet By Vishay Semiconductor Opto Division Digi Key Electronics

Find The Transfer Function G S V L S V S For The Circuit Given In Figure 2 14 Solve The Problem Two Ways Mesh Analysis And Nodal Analysis Show That The Two Methods Yield The Same Result

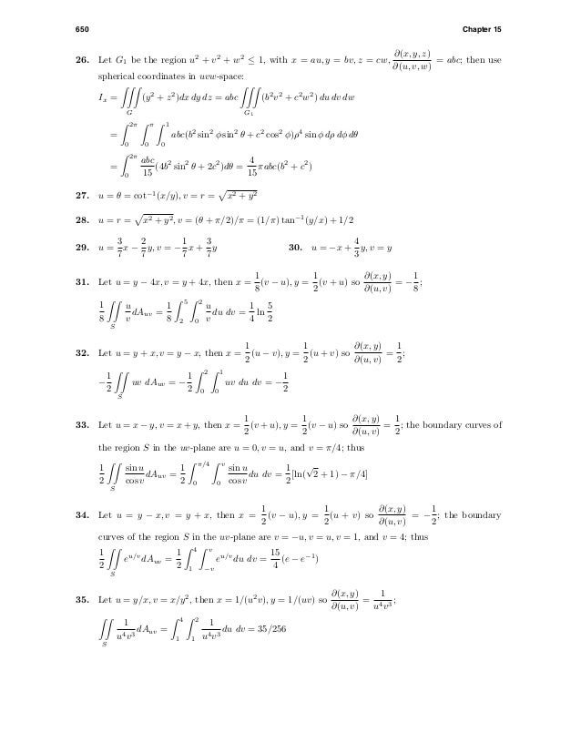
Typo A B C D E F G H I J K L M N O P Q R S T U V W X Y Z 3d Neon Fonts Modern Alphabet

Advanced Calculus Cations Of 60 Are That The Equations 22 Maythen Be Solved For X Y In Terms Of U V At Anypoint Of The Region And That There Is

Y And Z Combinators In Javascript Lambda Calculus With Real Code By Enrico Piccinin The Startup Medium
Solved Let X F U V W Y G U V W Z H U V W Be A 1 Chegg Com

Table Of Derivatives Of Elementary Functions Differentiation Rules Chain Rule Differentiating Inverse Function Differentiating Parametric Equations Logarithmic Derivative Derivative Of Exponential And Logarithmic Functions Derivative Of

Engineering Mechanics Part Ii Dynamics Lectures 1 3 Online Presentation

Pdf Mean Cordial Labeling Of Graphs

Typo A B C D E F G H I J K L M N O

Throw A Football With Turtle Graphics Stack Overflow

Differentiation Product Rule By Mr Porter Ppt Download

Ratio Of Phase Velocity To Group Velocity V P V G Red On Right Y Download Scientific Diagram

The Abc Of Insulin The Organic Chemistry Of A Small Protein Ostergaard Chemistry A European Journal Wiley Online Library

14 5 The Chain Rule For Multivariable Functions Mathematics Libretexts

Solved 1 Chain Rule A Find The Derivatives Of The Foll Chegg Com

Mosfet Ivs Ece 663 Operation Of A Transistor

Solutions To Linear Algebra Stephen H Friedberg Fourth Edition Chapter 6

Ortografia B V G J Y H By Rosalia14 Issuu

Differentiation Of Composite Function Let Z F X Y Possesses Continuous Partial Derivatives And Let X G T Y H T Possess Continuous Ppt Download

Premium Vector V Wing Vintage Logo

Laboratoire Ygie Complement Alimentaire Naturel

Subgraphs Lecture 4 Bipartite Graphs A Graph Is

Mating Type Loci Of Ustilago Esculenta Are Essential For Mating And Development Sciencedirect

Engineering Mechanics Part Ii Dynamics Lectures 1 3 Online Presentation

Bts V On Instagram Type Your Name Without Using T A E H Y U N G Letters Instagram Bts V Bts

V G Vg Letter Logo Business Professional Logo Template Letter Logo Logo Templates Lettering
Graph Theory Presentation Vertex Graph Theory Graph Theory

Lecture 2 First Order Differential Equations

9i Tngn Favxm

Ballistic Flight Equations

Normas De B Y V G Y J H C Y Z El Blog De Rupert Harvengt

Solved Find The Jacobian A X Y Z U V W For The Ind Chegg Com

Solved Let F U V U V Uv 2 And U U X Y E X Chegg Com

Coin 1 Liard A B D E G H K L M N O P T V X Y France 1643 1715 Louis Xiv Wcc Km284 9

14 7 Change Of Variables In Multiple Integrals Jacobians Mathematics Libretexts

Scientific Articles Describing Applications That Use Implement Expand Principles Of Vibe Last Update May 4 21 1 Smoke Detection From From Forest fires Y Gao And P Cheng Full Scale Video Based Detection Of Smoke From Forest fires Combining Vibe

Pdw Datasheet By Knowles Dielectric Labs Digi Key Electronics

Projectile Motion Definition Concepts Formulas Videos And Examples

Nieuwe Pagina 1

Iamamiwhoami Y Youtube
Osa Terahertz Pulse Time Domain Holography With Balance Detection Complex Domain Sparse Imaging

Reactive Amphiphilic Conjugated Polymers For Inhibiting Amyloid B Assembly Sun 19 Angewandte Chemie International Edition Wiley Online Library

Pdf A Survey Of Amur Siberian Tigers In The Russian Far East 04 05

Osram Led Buis Starter Substitube Led 230 V Conrad Be

Answered Problem 3 Consider The Double Bartleby
Solved Let F G And H Be Functions Of Two Variables That Chegg Com

The Mummified Body Of The Emperor Charles V In The Escorial Photograph Of A Painting By V Palmaroli Y Gonzalez Wellcome Collection

Font Stylization Letters Font Composition Logo Rendering Stock Photo Image By C 0123omar
Yuv Wikiwand

A 2300 V Terminal Voltage 1000 Kva 0 8 Pf Lagging 60 Hz Two Pole Y Connected Synchronous G Homeworklib

Engineering Mechanics Part Ii Dynamics Lectures 1 3 Online Presentation

Mosfet Ivs Ece 663 Operation Of A Transistor

Uhjnle Uo0eqnm

11qrbf4hooobtm

Scientific Articles Describing Applications That Use Implement Expand Principles Of Vibe Last Update May 4 21 1 Smoke Detection From From Forest fires Y Gao And P Cheng Full Scale Video Based Detection Of Smoke From Forest fires Combining Vibe

General Contractor Rizzani De Eccher To Implement Y Towers Team V Architectuur

And The Resistor Color Strength Goes B B R O Y G B V G W Just In Case You Electrical Circuit Diagram Electronics Components Electronic Engineering
Let U X And V X Satisfy The Differential Equations Du Dx P X U F X And Dv Dx P X V G X Sarthaks Econnect Largest Online Education Community

A Ball Is Projected Horizontally With A Speed V From The Top Of Th

Question Video Finding The First Partial Derivative In A Multivariable Function Of Two Variables Using The Quotient Rule Nagwa

Van Gils Vg V Edt Eau De Toilette 50ml For Men New Neu Ovp Ebay

Ggraph Tricks For Common Problems R Bloggers

Suppose F Is A Differentiable Function Of X And Y And G U V F E U Sin V E U Cos V

Sect 2 7 Falling Objects Freely Falling Objects

Resposta Do Capitulo 15

Sect 2 7 Falling Objects Ppt Video Online Download

Change Of Variables In Multiple Integrals Ppt Download

Uhjnle Uo0eqnm

Solved Let G U V U 2 V V 2 U Use The Change Of Va Chegg Com

Chapter 6 Graph Theory R Johnsonbaugh Discrete Mathematics 5 Th Edition Ppt Download

Sect 2 7 Falling Objects Freely Falling Objects

Solved Find The Jacobian Partial Differential X Y Z P Chegg Com

Vector Analysis By Alimkanwalimtinaa Issuu

Mosfet Ivs Ece 663 Operation Of A Transistor

Calameo Ejercicios De Soluciones

Linear Algebraic Group Of Gl V Is Independent Of Choice Of Basis Mathematics Stack Exchange

Solved Formula A Delta Y V I Delta T 0 5g Delta T Chegg Com

Image Restoration Outline A Model Of

Projectile Motion Powerpoint Slides

21 New Hot Sexy Women Y Back Strings Low Waist Mini Micro Bikini Swimwear G Strings V Thongs Tangas T Back Panties Underwear Erotic Lingerie From Iris0310 7 6 Dhgate Com

Solved Suppose F X Y Z Is A Differentiable Function X Chegg Com

In Fig 2 13 A Pitcher Tosses A Baseball Up Along A Y Axis With