0 Lmn Lo L Pq R L Stu V W Xy Z 1 A B Cd Efgh Bij Ekgh Leemnopqrst U5 Vswx Y Bgz
Apikit Odata Example Example Sql At Master Mulesoft Apikit Odata Example Github

Palladium Catalyzed Direct Sulfonylation Of C H Bonds With The Insertion Of Sulfur Dioxide Chemical Communications Rsc Publishing
Xblvg のギャラリー

If A X Y Y 1 X 0 X In R A N D B X Y Y X X

Alt Codes List Alt Key Codes Symbols Sheet Unicode Character Table

Mermaid Party Game Printable What S Your Mermaid Name Game Mermaid Birthday Party Baby Shower Mermaid Name Sign 8x10 Instant Download Mermaid Party Games Mermaid Names Little Mermaid Birthday

Char Function Power Apps Microsoft Docs

Revista Archivos De Filosofia N 2 Y 3 Pag 1 250 By Umce Issuu

Chapter 7 Correlation And Simple Linear Regression Natural Resources Biometrics

Introduction To Synthetic Aperture Radar Sar Ppt Download

Plformat

Ex 5 5 15 Find Dy Dx Of Xy E X Y Class 12 Ex 5 5

A Q J M Z O R W P I N B C L E X Drawing By Alain

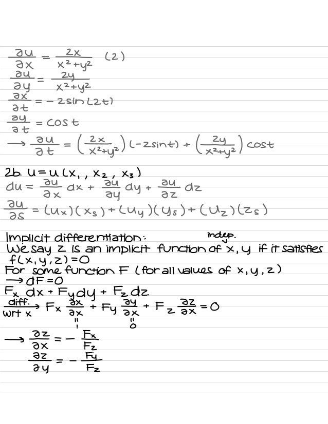
Calculus B Notes Notre Dame
9249r User Manual Manual Taiyo

V Wiktionary

Language Discrimination By Texture Analysis Of The Image Corresponding To The Text Springerlink
Coordinatetransformations

Y Wiktionary

Comparison Of Multi Fluid Moment Models With Particle In Cell Simulations Of Collisionless Magnetic Reconnection Physics Of Plasmas Vol 22 No 1

Solving The Homogeneous Differential Equation Dy Dx Y X Y X Youtube

Pdf Solution Manual Fluid Mechanics 4th Edition Frank M White Rocha Antonio Academia Edu

This Is Related To Differential Equation Course Chegg Com
C Span Org National Politics History Nonfiction Books

Let Y Varies Directly As X If Y 12 When X 4 Then Write A Linear Equation What Is Value Of Y When Youtube
Scriptsource Entry Phonetic Symbol Guide

The Italian Alphabet L Alfabeto Italiano Bảng Chữ Cai Tiếng Y Semprelearn Always Learn New Things Everyday

Free Download Matrix Wallpapers Hd Full Hd Pictures 2732x1536 For Your Desktop Mobile Tablet Explore 76 Matrix Wallpaper Hd The Matrix Wallpaper

Trail Of Bits Blog

Homework 2 With Strategies Homework Eecs 31 Cse 31 Ics 151 Daniel D Gajski S Web Site

G Wiktionary

Solved In This Question We Re Going To Solve The Ode 1 Chegg Com

If A X Y Y 1 X 0 X In R A N D B X Y Y X X

Viking Rune Personalised Initial Talisman Ring Made From 100 Etsy Scandinavian Tattoo Viking Tattoo Symbol Viking Rune Meanings

This Is Related To Differential Equation Course Chegg Com

Find The Volume Of The Solid Revolved Around Y X 3 Y 0 X 2 About The Y Axis Wyzant Ask An Expert

Show That The Ols Estimator Can Be Written As For Y I X Beta Epsilon I Beta Hat Betat Y Homeworklib

Chord So Perfect M Y M P Tab Song Lyric Sheet Guitar Ukulele Chords Vip

Y Wikimedia Commons
Stokes Theorem Examples Article Khan Academy

List Of Unicode Characters Wikipedia

Calculus B Notes Notre Dame

Worked Example Euler S Method Differential Equations Video Khan Academy

Color By Letters U V W X Y Z Free Kids Printable Printable Activities For Kids Preschool Letters Alphabet Preschool

Y Wikipedia

This Is Related To Differential Equation Course Chegg Com

Ideal Gas Law Wikipedia

A Delightful Site For Writers And Lovers Of Words And Language It Is All About The Number Zero Its Place In The History Philosophy And World Literatures We Have Heard Of Calling Someone A Total Zero As An Insult But What Does Zero Really Mean This

Ex 1 3 3 Let A 1 2 3 4 5 Which Statements Are Incorrect

Molecules Free Full Text Polyphenolic Compounds And Digestive Enzymes In Vitro Non Covalent Interactions Html

New Amsterdam Nbcnewamsterdam Twitter

Python Get The Ascii Value Of A Character W3resource

Urxvt Ranger Crashes When Opening Image Preview Issue 1053 Ranger Ranger Github
Scriptsource Entry Phonetic Symbol Guide

Definiteness Determined By Syntax Springerlink
The Great Qin Dynasty 大秦帝國 Idiomas

Calculus B Notes Notre Dame
File Latin N Svg Wikimedia Commons
0 Lmn Lo L Pq R L Stu V W Xy Z 1 A B Cd Efgh Bij Ekgh Leemnopqrst U5 Vswx Y Bgz

Solved 2 Solve For The String Response Equation 7 27 G Chegg Com

Pdf Two Dimensional Laplace Transforms For Non Homogenous Forth Order Partial Differential Equations

Pdf Instructor S Solutions Manual Introduction To Electrodynamics Eduardo Almeida Academia Edu

Solving The Differential Equation Dy Dx Tan 2 X Y Youtube

Twitter Spy Party Spy Birthday Parties Spy Kids

Frontiers Non Coding Rnas In Nervous System Development And Disease Cell And Developmental Biology

Pdf Solution Of The Dirichlet Problem For The Laplace Equation