
Pdf Survey Of Circulating Current Suppressing Technologies In Mmc

Fonctions Logiques Page Personelle De Louis Trussart Profweb

Untitled 7 Flip Book Pages 1 Pubhtml5
Y Ko のギャラリー

Exploring Unicode Space Wolfram Demonstrations Project
Package Theantiquab C2 Lucasfonts

室內裝修100問 102年9月版 By 李雅琪 Issuu

By Gujarat Today Issuu

Pdf A Hybrid Cro K Means Algorithm For Data Clustering

0 0 1 2 34 5 6 6 7 C

Pdf Finite Element Analysis I Enme E4332 Fall 12 Solution Problem Set 4 Danny Song Academia Edu

Exploring Unicode Space Wolfram Demonstrations Project

Manual Manualzz

From Pictures At An Exhibition

Compassplus Ru Izmerenie Proizvoditelnosti Sistemy

Solutions To The Final Exam Probability Statistics Engineers And Scientists Stat 390 Docsity

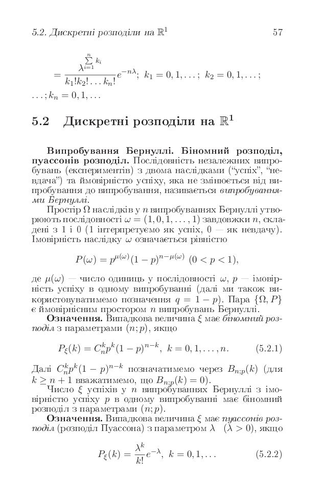
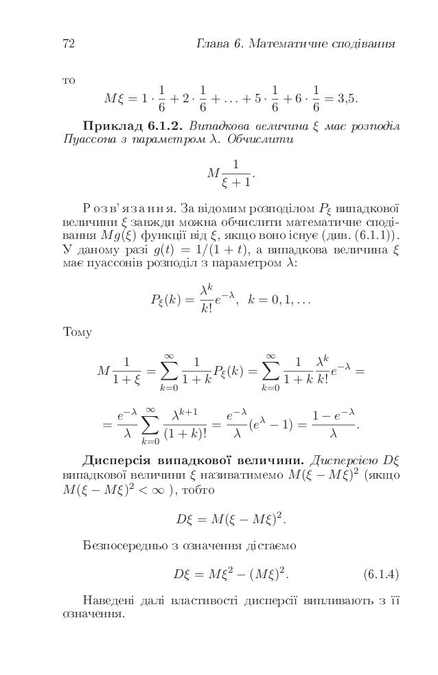
Turchin Valeri Teorya Imovrnostei Matematichna Statistika Osnovn Po

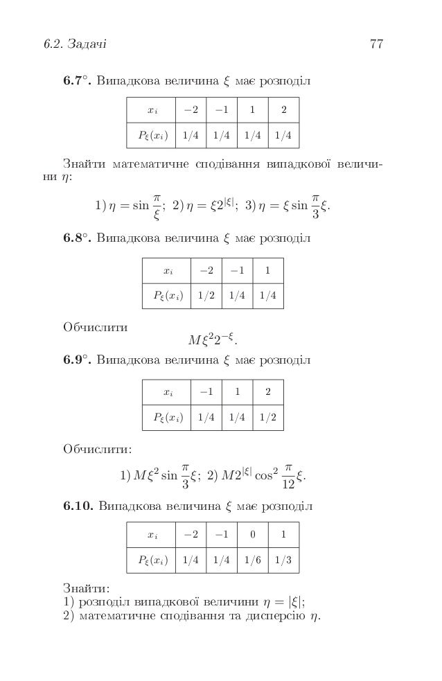
Page 74 23期

Hoover Htv 714 6 Sy a User Manual Manualzz

Hoover Htv 712 6 1 30 Htv 712 6 Sy Htv 712 6 1 16s Htv 712 6 30 Htv 709 6 30 Htv 710 6 30 User Manual Manualzz

Pdf Camera Trapping Survey On The Diversity Of Mammal And Pheasant Species In Gutianshan National Nature Reserve Zhejiang Province

Pdf 从大学英语教材词汇看 大学英语课程教学要求 的指导意义 Implementing The College English Curriculum Requirements Cecr A Corpus Based Study Of Vocabulary In College English Textbooks In China

Knxex

Turchin Valeri Teorya Imovrnostei Matematichna Statistika Osnovn Po

Knxex

Prezentaciya Uprazhn Log

Turchin Valeri Teorya Imovrnostei Matematichna Statistika Osnovn Po

Pdf Comparison Of The Detection Methods Of Residual Solvents Between Us Pharmacopoeia And Chinese Pharmacopoeia

Turchin Valeri Teorya Imovrnostei Matematichna Statistika Osnovn Po

Science0lqdustry Relations And The Problem Of Problem Choice Within

Pdf Prototype Control System For The J Parc 60mev Proton Linac Ii Tadahiko Katoh Academia Edu

Calameo Terminos

A A

Knxex

最も好ましい µ C ƒ ƒpƒ ƒ A A

Visual Basic Editor Pdf Kostenfreier Download

A A A A A A A A A 01 A 324 1 A 5 6 7 A 8a 8 A 9a Cb I Biostat

Midterm Exam With Solutions Introduction To Programming Csc 1 Docsity

Pdf Edge Computing State Of The Art And Future Directions

Knxex

Pdf Difficulties In The Musical Development Of Children And Possible Models To Overcome Them Jasmina Stolic Pivnicki Academia Edu

Pdf ر ة خ ھ ش ح I ز ح ف ش ف

Pdf The Strong Law Of Large Numbers When The Mean Is Undefined Undefined Undefined Academia Edu

Turchin Valeri Teorya Imovrnostei Matematichna Statistika Osnovn Po

Exploring Unicode Space Wolfram Demonstrations Project

Pdf فار سی Ali Ashraf Sadeghi Academia Edu
Icom Statement On Reclaiming Cultural Property Chi Unesco Digital Library

Candy Cth 1276 Sy User Manual Manualzz

Vw Lupo Seat Arosa D Montage Und Betriebsanleitung Navod K Manualzz

Any Method To Optimize Graph For Qat Model Quantization Pytorch Forums

Master Print

Anleitung Manualzz

Page 33 Salsal E Safa May 18
Y ƒ ˆ Klmn Okhpqrstuv Wuv 01 Ab Cdefg Hmx 787 Y Z K