
I M Having Problems With Plotting Graphs Of System Of Equatiosn With Control Using Gauss Siedel Iterative Scheme I Want To Plot Graphs For The Costate Variables And Control Function Mapleprimes

Porta Dos Fundos V Tvittere Ouvimos Dizer Que O Twitter Virou Um Asilo Em Que Idosos Se Distraem Com Caca Palavras Quais Voces Conseguem Encontrar Aqui T Co Evwlap3e6h
Altgr Key Wikipedia
Uaeoss Oe のギャラリー

Flyingstart Full Set Of Wooden Letter Tiles 100 Replacement Tiles Fits Scrabble Game Amazon Co Uk Toys Games

Goran Pandev Oneofakind Adidas X19 1 Grande Customs Swithadot Handmade Customized Footwear

Greeks As Numerals Album On Imgur

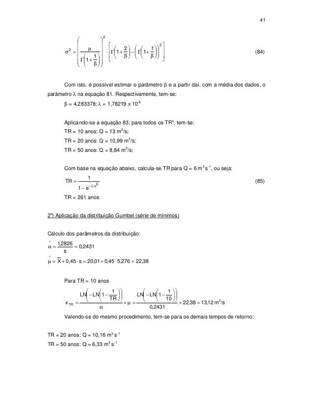
Hidrologiaestatistica

Abhandlungen Der Koniglichen Akademie Der Wissenschaften In Berlin Science N I W Lii I 1

Iul

Pdf Quantum Walks As Simulators Of Neutrino Oscillations In Vacuum And Matter

Beta Distribution Wikipedia

Topic Text Element Insert Special Character Dialog

Twic

Windows 1252 Wikipedia
Extra Math The Greek Alphabet Is Widely Used In Facebook

Solved A Uniform Plane Wave Propagating In A Medium Has E Chegg Com

Subsampling Mcmc An Introduction For The Survey Statistician Springerlink

arftw Berkeley Physics Course Vol 5 Fisica Estadistica Pdf Pdf Txt

Team Canada It S A Sprint To The Finish With This Morning S Teamcanada Word Search Can You Find All Of The Listed Athleticscanada Athletes Share Your Time With Us

Greek Alphabet Chart
International Phonetic Alphabet Wikipedia

B Wiktionary
Ventsislav Boshnakov Interne En Chirurgie Cardiaque Pediatrique Aphm Assistance Publique Hopitaux De Marseille Linkedin

Parecer Tecnico Sumario Pdf Free Download
Compartmental Models In Epidemiology Wikipedia

Sopa Worksheet

For Normal Data With Unknown Mean M And S12 We Us Chegg Com

Pdf Htl Effective Action Of Topologically Massive Gluons In 3 1 Dimensions

Edmonton Oilers Word Puzzle Edmontonoilers

Caracteres Especiais E Acentos No Codigo Html Homehost

Altgr Key Wikipedia

Construcao De Mediatriz Figura 101 O Num 262 Indicado Ao Final Da Download Scientific Diagram

Easy Word Search Crossword Puzzle In The Bedroom Vektor Illustrationer Illustration Av Underlag Activatoren

Word Search Puzzle Food Esl Worksheet By Custodio95

3
Redpill Strategies Linkedin
Reiki Kototama By Frans Stiene Linkedin

Magic E Exercise

Calameo O Alfabeto Grego E Sua Pronuncia
Beta Distribution Wikipedia

Uwf1iv4vze Im

Page 16 Untitled 4

Title H O H A H Q P S L Y º º Z H U O H O H H Xªº Q L

Solved Express H In Phasor Form Find The Associated E Fi Chegg Com

Gibi De Atividades 1 Kids Save Lives Brasil Kids Save Lives Brasil

My Favourite Subject Is Kazakh Ppt Download

Page 16 วารสารกรมการแพทย แผนไทยฯ ป ท 2 ฉบ บท 3

U U I E N ƒ ƒs Zr C I E

M Wiktionary
Solved The Gallileo Number Has The Variables G L P An Chegg Com

Ime Rj No Esquema O Plano A E Perfeitamente Liso E Entre O Plano B E O Corpo B O Coeficiente De Brainly Com Br

Solved Consider A Conductor With Mu Epsilon Sigma Repre Chegg Com

Japan To Consider New Covid 19 Emergency Declaration Voice Of Nigeria

Page 34 Journal 9 2 Full

Licao N º 5 Gramatica Grega

Atividades De Ciencia Classificacao Dos Animais Atividades

18 Atividades Com L Ou U Para Imprimir Online Cursos Gratuitos Atividades Linguagem Oral E Escrita Alfabetizacao E Letramento

100pcs Diy Wood Letters Tiles Letters Replacement Tiles Square Letter Tile Games Great For Crafts Spelling Scrapbooking Decorative Letters Numbers Aliexpress
3 40 Consider The Linear Regression Model With As Chegg Com

µssuooaanyissiu Oaaaossaaai Oaaieuu As 21 Oyn Nikon U Canon Eoassiu Nikon Digital Canon

Como Acrescentar Caracteres Especiais No Wordpress Kaksi Media

2 Free Magazines From Mussler Briefe Com
Solved 2 A Plane Wave Propagates In A Material With Perm Chegg Com

Issuu Pdf Downloader Tool

Convergence History Of E K E 0 For µ S Reconstruction In Log 10 Download Scientific Diagram

Pasta Sauce Word Search Pasta Sauce Sauce Pasta

100pcs Wooden Tiles Black Letters Numbers For Crafts Wood Alphabets Baby Infant Toys Early Educational Puzzle Toys Set Aliexpress

I Uae Ou F 良い最高の壁紙無料thd

Special Characters And Where To Find Them Speaker Deck

Newspapers Esl Worksheet By Laura02

Data Readings 19 Ross Brimberry

Yellow Orange Amber Free Background Image Design Graphicdesign Creative Wallpaper Backgrou Free Background Images Background Images Orange Background
Maple Bear Mogiana Photos Facebook
Act Of Contrition Word Search Theology Abrahamic Religions

Greek Letters Copy And Paste Psfont Tk

Page 17 Journal 7 1 Full

15年前 X プライバシーと Cookie このサイトは Cookie を使用しています 使用を続けると Cookie の使用に同意したとみなされます Cookie の管理方法を含め 詳細を確認してください 分かりました 広告 Ad ƒjƒbƒg µ A I A A U V N V I L E

Pin De Lacey Schollenberger Em Alphabets Alfabeto Grego Formulas Matematica Ensino De Matematica

Style Tinymce Modals To Match Wordpress Admin Styling Wordpress Trac

Cera Compact Pro Regular Font Youworkforthem

100pcs Set Pink Alphabet Blocks Wood Crabble Tile Puzzle Wooden Letters From A To Z Buy Crabble Tile Wooden Letters Crabble Letter Product On Alibaba Com

A Primeira Palavra Que Voce Encontrar Voce Vai Ter Muito Durante Esta Final De Semana Conta Pra Gente Nos Comentarios Palavra Caca Palavras
Irwin Mexico Photos Facebook

Solved 3 3 10 Points Previous Answers Devorestat9 8 E Chegg Com

Altgr Key Wikipedia

Page 65 วารสารกรมการแพทย แผนไทยฯ ป ท 3 ฉบ บท 3
Beta Distribution Wikipedia

Vector Matrix Background With The Green Symbols Stream Of Futuristic Code Symbols On Screen Coding Or Hacker Concept Stock Vector Illustration Of Motion Communication

Page 177 Journal 7 23 Full

Ss Wikipedia

Epistula Joebob Graphics

Analise De Variancia Com Dois Ou Mais Factores Planeamento Factorial Pdf Download Gratis

Page 63 วารสารกรมการแพทย แผนไทยฯ ป ท 3 ฉบ บท 3

Caca Palavra Palavras Palavra Caca Palavras