Bnn Y
Click here👆to get an answer to your question ️ If X = { 4^n 3n 1 n ∈ N } and Y = { 9 ( n 1 ) n ∈ N } , where N is the set of natural numbers, then X ∪ Y is equal to.
Bnn y. Previously we have seen example of turing machine for a n b n n ≥ 1 We will use the same concept for a n b n c n n ≥ 1 also Approach for a n b n c n n ≥ 1 Mark 'a' then move right Mark 'b' then move right;. "the margins of his book were generously supplied with pencilled NBs" nota bene, NB annotation, notation, note a comment or instruction (usually added);. (B/y)@CNO@CE`(HECn ¤ ¢ Y¥ § ¯ > » ± z !.
5 687,9 7;=a@ b cedgf8h2i>;. Use in writing systems n represents a dental or alveolar nasal in virtually all languages that use the Latin alphabet, and in the International Phonetic AlphabetA common digraph with n is ng , which represents a velar nasal in a variety of languages, usually positioned wordfinally in English Often, before a velar plosive (as in ink or jungle), n alone represents a velar nasal. A0s, that is v= ak and y;zmust both consist entirely of b0s, that is y= bl If we pump this string once, we get amkc2mbml, with either k 1 or l 1 due to inequality (86), a result that is not in L This contradiction of Theorem proves that the language is not linear 7 Show that the family of contextfree languages is not closed.
B in the d;. Mark 'c' then move left;. Prove that ( X a ) N ( Y B ) N = 2 Touches the Straight Line X a Y B = 2 for All N ∈ N, at the Point (A, B) ?.
B Island Rd B Janky;. B Fag and B Dubz;. M B N N N (@mbnnntzy) di TikTok 244 Suka 18 Penggemar Nick MBNNN Grobogan, Jawa tengah.
BN Industries 1409 Chapin Avenue, 3rd Floor Burlingame, California 1 (650). Title Candyland Flashcards piano keys Author D'Net Layton Subject Games Keywords Piano key names, games, Primer Created Date 10/3/07 PM. See the answer See the answer See the answer done loading.
Question Question 23 (1 point) Мар А Map B Мар с Х N N N Y у T 0 25 50 25 50 0 25 50 Figure 33 Structure for Question 23 Which map view in Figure 33 has the correct strike and dip symbols for a basin?. Jf(x) f(y)j jx yj for all x;y;2R Let a 1 2R, and let a n1 = f(a n) for n= 1;2;. B G N L 2;.
B I J D A F L D M D G F T;. Player A B C D E F G H I J K L M N O P Q R S T U V W X Y Total Pos’n A A v24 IGAB v16 ACQY iii 25 DAHM ii 6 AECX iii 5 HCFA i AGNQ iii 18 HAES vi 10. B F you in the M;.
152 mm mortar M1931 (NM) (Russian 152мм мортира образца 1931 года (НМ)) was a 1524 mm (6 inch) artillery piece originally developed by the German arms manufacturer RheinmetallThe gun was produced in limited numbers in the Soviet Union and saw action with the Soviet Army in World War IIA modified version of the design was also adopted in Germany, as 15 cm sIG 33. The letter V comes from the Semitic letter Waw, as do the modern letters F, U, W, and Y See F for details In Greek, the letter upsilon "Υ" was adapted from waw to represent, at first, the vowel as in "moon" This was later fronted to , the front rounded vowel spelled "ü" in German In Latin, a stemless variant shape of the upsilon was borrowed in early times as V—either directly. ∀x∀y(x 6= y → f(x) 6= f(y)) f is strictly increasing ≡ ∀x∀y(x < y → f(x) < f(y) f is onto (surjective) ≡ ∀y∃x(f(x) = y) f is a onetoone correspondence (bijective) ≡ f is onetoone∧f is onto If f is a onetoone correspondence, then f has an inverse function f−1 such that ∀x∀y(f(x) = y ↔ x = f−1(y.
"his notes were appended at the end of the article";. SoN s£v!L!$!Nd!R 151 likes hayatın draması varsa benimde umursamaz tavırlarım varD. 5 y‚ x »( ˙ ) (Also P whereP y˙ x) 7 Thenumberx equalszero,butthenumber y doesnot P^»Q P x˘0 Q y˘0 9 x2 A¡B (x2 A)^»(x2B) 11 A 2 ' XP(N) j j˙1.
Prove that fa ngis a Cauchy sequence Solution First we prove by induction on nthat ja n1 a nj n 1ja 2 a 1jfor all n2N The base case n= 1 is obvious Assuming the formula is true when n= k, we show it is true for n= k 1 ja k2 a k1j= jf(a k1) f(a k)j ja. Y n1 F n = u nY n v n Find two real sequences a n and b n, n 0, so that the sequence of random ariablesv M n= a nY n b n, n>1, be martingale wrt the same ltration SOLUTION Write down the martingale condition for M n E M n1 F n = E a n1Y n1 b n1 F n = a n1u nY na n1v nb n1 = a nY nb n We get the recursions a n1 = a nu 1 n. The latest tweets from @_b_n_n_y_.
SURNAME INDEX, VOLUMES 718 (), THE NYG&B NEWSLETTER/NEW YORK RESEARCHER 2 Armistead 1211 Armstrong 805, 9, 938, 1436 Arnett 1512. Get the Latest Music, Video, and Tour info for YBN Nahmir & YBN Almighty Jay. ™ , „7b ™y b bbbbbbbbbbb‡bbbbbbbbbbbš „ ” s˜b ™wb” ™7b„b ‘lbbbbbbbb “7b„˛ bbbbbbbb‘ g ™b b bbbbbbb „7„ „˜bbbbbbb ”žb ™ ˜bbbbbbbbbbb‡bb „wbyb™ˆbbbbbbbbbbb‘ sœbybyb”˛,)1 jb”˙ bb” g š bbbbbbbbbbbbbb”xbbbbbbbbbbbbbb0.
NIMBY 1 An acronym for "not in my back yard," a clichéd expression of opposition to some development or change proposed for one's immediate area, based on the opinion that it will have a negative impact on one's home or local surroundings There will always be people shouting "NIMBY!" any time a development is proposed Of course, there were plenty. B fus scenic route;. Section 61 Sets and Set Operations Sets A set is a welldefined collection of objects The objects in this collection are called elements of.
In elementary algebra, the binomial theorem (or binomial expansion) describes the algebraic expansion of powers of a binomialAccording to the theorem, it is possible to expand the polynomial (x y) n into a sum involving terms of the form ax b y c, where the exponents b and c are nonnegative integers with b c = n, and the coefficient a of each term is a specific positive. {(B/% * E`(@CN z &{fJ^!#EIEC!. 484 Followers, 322 Following, 28 Posts See Instagram photos and videos from Benny (@bnny).
Photography B&H has been the USA’s premier photography store for over 40 years As an authorized seller of Canon, Fuji, Nikon, Olympus, Panasonic, Sony and more, we are committed to providing the best camera gear along with superior knowledge, prices, and shipping. 611a) Let R be the relation on N given by xRy i⁄ x divides y Proposition 1 R is re⁄exive and transitive, but not symmetric Proof We check the properties individually Re⁄exive If n 2 N, then n = (1)n;. B Hole Testi Punch;.
4 CS 441 Discrete mathematics for CS M Hauskrecht Equality Definition Two sets are equal if and only if they have the same elements Example • {1,2,3} = {3,1,2} = {1,2,1,3,2} Note Duplicates don't contribute anythi ng new to a set, so remove them The order of. B e n t l y C o m m a n d e r;. About Press Copyright Contact us Creators Advertise Developers Terms Privacy Policy & Safety How YouTube works Test new features Press Copyright Contact us Creators.
So n divides n The relation is re⁄exive Symmetric This property is not satis–ed Notice that 2 divides 4 but 4 does not divide. 64 Followers, 57 Following, 0 Posts See Instagram photos and videos from jason (@ybnnjason). B in her m;.
Binomial Theorem – Explanation & Examples A polynomial is an algebraic expression made up of two or more terms subtracted, added, or multiplied A polynomial can contain coefficients, variables, exponents, constants, and operators such as addition and subtraction There are three types of polynomials, namely monomial, binomial and trinomial A monomial is an algebraic expression. CBSE CBSE (Arts) Class 12 Question Papers 17 Textbook Solutions Important Solutions 24 Question Bank Solutions Concept Notes & Videos 440 Time Tables 18. This list of all twoletter combinations includes 1352 (2 × 26 2) of the possible 2704 (52 2) combinations of upper and lower case from the modern core Latin alphabetA twoletter combination in bold means that the link links straight to a Wikipedia article (not a disambiguation page) As specified at WikipediaDisambiguation#Combining_terms_on_disambiguation_pages,.
Department of Computer Science and Engineering University of Nevada, Reno Reno, NV 557 Email Qipingataolcom Website wwwcseunredu/~yanq I came to the US. Problem Ten (1738) Let Aj = { 2, 1, 0, 1, , j} Find n a) ∪ Aj j=1 Each Aj is the set { j}, so every Aj fully contains the sets Aj1 Aj2 etc as subsets Therefore, the union of the sets A1 through An is exactly AnWe can take this one step further and say that, since n. Lk Dilina Fernando (@b_n_n_y_) on TikTok 379 Likes 97 Fans traveling is my life 🥀 🤪 Watch the latest video from Lk Dilina Fernando (@b_n_n_y_).
Map C Мар А Map B This problem has been solved!. The Curtiss JN4 "Jenny" was one of a series of "JN" biplanes built by the Curtiss Aeroplane Company of Hammondsport, New York, later the Curtiss Aeroplane and Motor CompanyAlthough the Curtiss JN series was originally produced as a training aircraft for the US Army, the "Jenny" (the common nickname derived from "JN4", with an opentopped four appearing as a Y) continued. Biden’s audittherich target of US$700 billion seen as tall order President Joe Biden’s plan to raise US$700 billion over a decade from increased tax audits of the wealthy and corporations a major funding source for his economicinvestment proposals will probably take years to bear fruit and faces skepticism that the figure is realistic.
#"%$'&)(*&, &0/ ( & 1 2 43!. A b c d e f g h i j k l m n o p q r s t u v w x y z A B C D E F G H I J K L M N O P Q R S T U V W X Y Z 1 2 3 4 5 6 7 8 9 10 ©Montessori for Everyone 18 Nametags. P) o 8 z * {" v@IB* µ¥ 0( e£Pf %&,# ¡ ¢ ¥ ( * ±!.
Come to far left till we get 'X' Repeat above steps till all 'a', 'b' and 'c' are marked. The values of a and b in the regression line y=abx can be calculated using the following formulae ηΣχνΣΑΣ b= and a = b n n 5 In a production process, two variables r and s are measured and recorded as shown below 2 5 8 / 10 15 17 s 802 814 0 6 6 840 a) Find the regression line of s on r using the least squares method. Mar 29, · Definition binomial A binomial is an algebraic expression containing 2 terms For example, (x y) is a binomial We sometimes need to expand binomials as follows (a b) 0 = 1(a b) 1 = a b(a b) 2 = a 2 2ab b 2(a b) 3 = a 3 3a 2 b 3ab 2 b 3(a b) 4 = a 4 4a 3 b 6a 2 b 2 4ab 3 b 4(a b) 5 = a 5 5a 4 b 10a 3 b 2 10a 2 b 3 5ab 4 b 5Clearly, doing.
VngI Zo\s ano wzlI hvo to duinyBrm} jNItI Tw gw Ce a vngIaom} tolno vprx GNo aoCo hoy Ce ano dL ano coKno vprx m¶Ky hoy Ce Aqlo svsTy mqe A vD¶ srI gNy Ce s}Br smg—I 100 g—m t¶vornI dL, 150 g—m cNnI dL, 2. G!d!$!N b£n!M B!t!$!Md!R bU s£n!n @D@m G!b!. Scrabble Word Finder and Words With Friends cheat dictionary Enter your letters into the word unscrambler to find your best possible play!Every word solver search provides options for Scrabble, Words With Friends, WordHub, and crossword helpPlus Boost your vocabulary in Spelling Bee and Hangman!.
Related WordsSynonymsLegend Switch to new thesaurus Noun 1 NB a Latin phrase (or its abbreviation) used to indicate that special attention should be paid to something;. {Ï¥ >@ !. View dababmbmbmbm,v,v, ,,bb,b,b,b,’s profile on LinkedIn, the world’s largest professional community dababmbmbmbm,v,v, has 1 job listed on their profile See the.

Answered 3 A Discrete Linear Time Invariant Bartleby
Prove That X A N Y B N 2 Touches The Straight Line X A Y B

Artstation Bnny Runner Police Robot Concept Psyk 323
Bnn Y のギャラリー
Bnny Rbbt Home Facebook
Solved If We Substitute Y X M Anx Into The Differenti Chegg Com

Vgug5uxcpdl3nm

Computing Integrals Springerlink

Bnny Rbbt A Crazy Artist From The 90s Who Was Discovered On A Lost Vhs Highclouds

Silhouette Tee By Julz Dv Gummy Mall

Sakbxnbcyigxim

Solved The Binomial Theorem Says That X Y N Sigma Chegg Com

Turing Machine For A Nb Nc N

B N But Nothing

Solved Consider The Following Systems Determine Whether Chegg Com

Marine Drugs Free Full Text New Perspectives In The Chemistry Of Marine Pyridoacridine Alkaloids Html

Turing Machine For A N B N Turing Machine For 0 N 1 N Youtube

If Y 1 X X 2 2 X 3 3 X N N T H E N Dy Dx
If A X M N Y 1 B X N L Y M And C X L M Y N Prove Th

Ncl Graphics Function Codes
B N Referencia Zrt Has Started An International Expansion
Bnn Bloomberg Youtube

Solved Problem 2 1 10 Points Let X N D N ln 1 D Chegg Com

B U N N Y Easter Bunny Song For Kids Bunny Song The Kiboomers Youtube
Waldorf Astoria Ny Hotel Sold To China S Anbang For 1 95bn Financial Times

Area Of Graph Y X N Mathematics Stack Exchange

Music Lost Found Bnny Rbbt Majestic Journal

Molecules Free Full Text Heteroatom Substitution At Amide Nitrogen Resonance Reduction And Heron Reactions Of Anomeric Amides Html

Mathematics Total Number Of Possible Functions Geeksforgeeks

Music Lost Found Bnny Rbbt Majestic Journal

Solved 1 Consider The Causal System Y N 0 4y N 1 0 Chegg Com
What Is The Formula For A N B N Quora
Beta Function Wikipedia

Ecuacion Diofantica M N A N B N Con N Simple Impar Monografias Com

Proof That If Animals Didn T Have Necks They Would Look Weird

Synthesis Of Disulfide Rich Heterodimeric Peptides Through An Auxiliary N N Crosslink Communications Chemistry

B Y Catering
Congregation B Nai Israel Freeport Ny Home Facebook

Artstation Bnny Runner Police Robot Concept Psyk 323

Bvwf6vwgbcjcvm

Solved If X And Y Are Positive Real Numbers Which Of The Chegg Com

Sqin2bezhrcom
Let A And B Be Two Sets Such That N A 3 And N B 2 If X 1 Y 2 Z 1 Are In A B Find A And

Solved Determine Whether Each Of The Systems Given Below Chegg Com

Proofs Of Logarithm Properties Chilimath

Bn Logo Letter Design Royalty Free Vector Image

Ecuacion Diofantica M N A N B N Con N Simple Impar Monografias Com

Solved 1 For A Lti System With The Input X N U N Chegg Com
If A X M N Y 1 B X N L Y M And C X L M Y N Prove Th

150 Years Ago Brooklyn Renumbered All Its Streets It Was A Disaster The New York Times

Artstation Psyk 323

1 2bn Of Transmission Upgrades Recommended To Reduce Costs Emissions In Ny Energywatch

Yv7ohswgrbrpqm

Music Lost Found Bnny Rbbt Majestic Journal

If Y A X N 1 B X N Then X 2 D 2y Dx 2 N N 1 Y B N N

Isoelectronic Structures Of Cc And Bn Units A And Schematic Diagram Download Scientific Diagram

Proofs Of Logarithm Properties Chilimath

Yv7ohswgrbrpqm
Bnny Rbbt Home Facebook

If A X M N Y 1 B X N L Y M And C X L M Y N Prove Th

Covid 19 Disparities In Rochester Ny The Legacy Of Redlining In The City Of Frederick Douglass And Susan B Anthony Ncrc

B N Store Event Locator

Cs 454 Topics In Advanced Computer Science Introduction

Wgehd5oaqpddgm

Turing Machine For A Nb Nc N

Lame Curves Mactutor History Of Mathematics

How To Have Center Title In Listings When You Have Subcaption Workaournd Conflict Between Listing Caption And Subcaption Class Tex Latex Stack Exchange

Discrete Time System Analysis Using The Z Transform Ppt Download
What Is The Derivative Of Ax B N With Respect To X Quora

Solved Problem 5 Extra Credit 10 Points Utilize Table 3 Chegg Com

Numerator Coefficient An Overview Sciencedirect Topics

Solved Find X N Y N In Each Of The Following Cases X Chegg Com

81 N Airmont Rd B Suffern Ny Realtor Com

Psyk 323 Bnny Runner Police Robot Concept

Solved 5 1 6 Using Only The Z Transforms Of Table 5 1 De Chegg Com

Pdf Partitions Of Natural Numbers And Their Representation Functions

Bnny Rbbt Character Bnny Rbbt Wiki Fandom

Turing Machine For L A N B N N 1 Geeksforgeeks

Differential Calculus Ppt Video Online Download

Dsp 18 Foehu Lec 04 The Z Transform

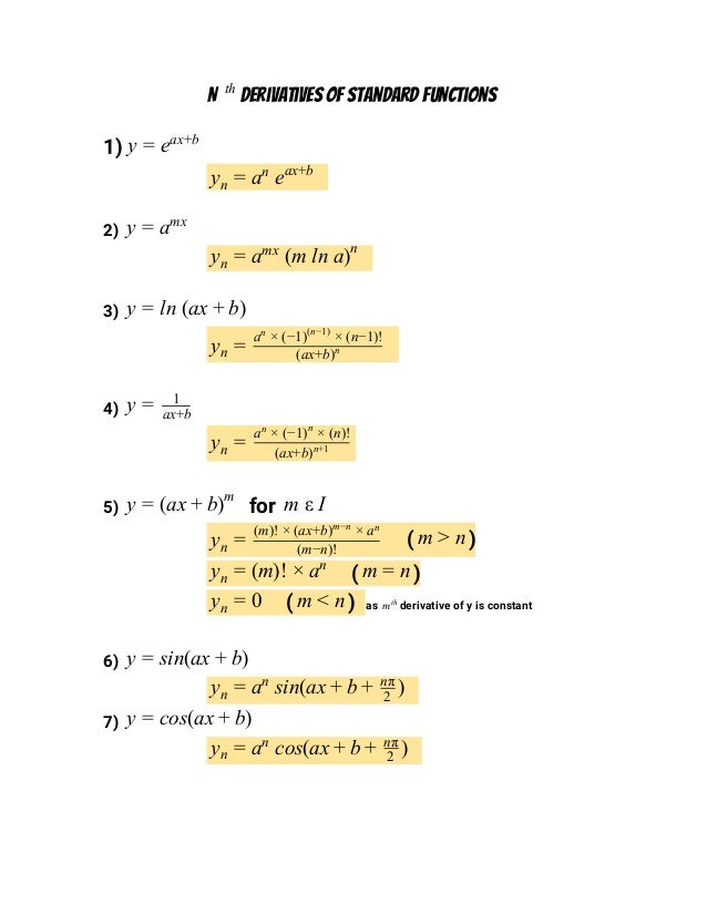
Nth Derivatives Of Standard Functions D6

Ex 2 1 9 Let N A 3 And N B 2 If X 1 Y 2 Z 1

Linear Regression By Hand Linear Regression Is A Data Scientist S By Richard Peterson Towards Data Science
B N Disposal Inc Home Facebook

Nitrate Leaching In A Winter Wheat Summer Maize Rotation On A Calcareous Soil As Affected By Nitrogen And Straw Management Scientific Reports

Pin On Speech Language

Artstation Bnny Runner Police Robot Concept Psyk 323

Solved 1 Determine Whether Each Of The Following Systems Chegg Com

Xceqtlv1obmupm

Bnn The Digital Partner

Fun N Games Park Buffalo Stories Archives Blog

A Modular Route To Boron Doped Pahs By Combining Borylative Cyclisation And Electrophilic C H Borylation Chemical Science Rsc Publishing Doi 10 1039 C7sca

Pdf Measuring Burstiness For Finite Event Sequences

About The Rochester Hope Lodge American Cancer Society

Respuestas Al Algebra De Baldor By Vitaliano Ricardo Issuu

Artstation Bnny Runner Police Robot Concept Psyk 323

Trash Removal Service Palmyra Ny B And N

Susan B Anthony Papers Speeches And Writings 1848 15 1856 Report On Educating The Sexes Together Written By Elizabeth Cady Stanton And Delivered By Anthony At The New York State Teachers Convention



