Z O Y
1 Áo µ µ¦Á · µ ª´ ¸ÉY Á oµ® oµ ¸É¦´ ¸É µ¤ · ¦³ ¸É®¦º°  ¦³ ¸Éy nµ¥¦¼ ¨µ ¼ εyn æ ¦¤ ¸É¡´ ª´ ¸ÉZ Á¨º° ª´ Á ¥r ´ª¦ryn æ ¦¤ ¸É¡´ ª´ ¸É Á¨º° ºÊ°OPTIONAL TOUR y¦oµ ° µ yn ¨¼ oµ ¸É µ¤ · ¦³ ¸É®¦º°  ¦³ ¸É Á¦·É¤ o Á¡¸¥ † † , 9 °° Á · µ ´Ê  n ¼oÄ.
						
					
Z o y. > Ñ D ª > , 8 ª ¸ × Y Ë ø ¤ ¿ ~ 8 ð à ä x ` ¿ D ª > , 5 ý d @ Þ I 3 O z ª D v Ó 5 ý ¸ à î O z ª. ³ æ ~ ³ ò æ G º æ Ë Ï æ Â ³ ã ï ¤ 9 U t ô T l h ¢Q » £ { } æ Ë & a y æ Ë & a t m M o. O Û Ê ç » Â Y q » Ò å ³ Z ?.
Y s S u ´ ¥ S p ª ^ S T ª ¡ Y t º m I ³ j Zãã º  T a Y t ^ z Z º j ¥ S Z X ¦ ¥ S Tãã ² º ¬ j ^ ª ºãã y ¸ ^ ¥ S Z ºãã y S s p ¥ S S s tãã ª ¥ S. Ý ³ y ª ¢ Ç ç ¢ ñ ½ Ý ³ y ´ Ý ³ y ¾ a ¼ y = Å U y ö O Ö v ¤ Ç Ì Ô 4 p u t ¥ z ¦ Ý ³ y ´ v Ø è v  ¡ d } a P D s < = Þ Ï J u t z s < p v z V u O } a Ø ³ y a Ø z ¨ Ö W M r = b u O } ¨ y  ¡ = é ± é a ¼ y ¦ v v = d } s < z. E æ u y ³ ß y M O y Ø Ö O x U Ï y E æ é u y ³ ß y M O z Ø U d } h y ¦ ¬ y \ Ø ³ v ô d = ô ) y y ¢ U ( O d } ¤ ¥ 2 o y ® / y O Q ð ô 2 h ë Ñ u y p z 2 Ú v u u O Q ½ Ë b ¶ F õ u x Á Z d } § ô 2 h #.
Z y W È v n q O d } h ^ v Ò c V y Ù Z 616 u t r ¦ d v a d } ´ j l W n q O y z ô ³ h y y r d } Ú E v o O q z h # \ Î. A b \ q p K { d Ö ?. ³ J z D , W \ E X = î K L ß ® ® û Y Ó , 3 ¤ ª ¸ Ò D Ø 3 > Þ È W à î ³ S x 5 ý × ª > > D W 3 I Þ È ¤ ª ¸ Ò > ª > D × Y Ó 3 a r × Ñ ä û 3 ¯ q ø & × Ñ Ò ;.
Û Y $ y Ò é ¿ « $ y U p s x Ò å ³ æ p w C ä ^ X b \ q è ª q ` Á ® ¤ É ç ª p K æ ?. ^ X b h t Ò å ³ w 7 Q w ° A æ l h { å H s ¼ í » ¶ Z C ¯ G q t o C ¯ ` T ` U w A L. ï ³ r Ø ¸ } ª K b b d } } ª y U K b Î z \ ( Î v L ç O j k Z ß é Ç ê · _ Ê Y O j b d } à # i ° ¢ I ë » _ Í Z k ` O ¥ Ø ¸ Î s y # É r Ø ¸ } ª \ b q Z k ` O } Ù Ø ¸ Î s v o O q ¾ i Ì.
ª o t l y e d z {r a} » Ä f  w ² µ µ q f n p e i l j k w ª t g s m u h r ³ o. 3/ V § ª y b Ò Æ 36NC ô ¨ Á911 ä ¨ 0 ¢ ô ³ 0 § O ì !. ³ ñ b õ Û.
ª ô w Ì % ö!. 1 å 3 ª ç ¯ ³ Ë ü Ã ê ã ç ¶ ³ ® !. N Ä O 4ù!ª %l n Ä O Û N O Þ æ ' ' O q G &Ô !¢ n Û(* w1 P T w1 Û(* s O Û&µ ' n$ O ¥1ñ$ G"í9Ù G ^ n Ä O 4Q 9Ù!µ Z R ó!¹ æ4P Ô ° O Ö% $ ³ ;4Ú n q ç5ô# $å ²9Ù ´!¢ G 0 n Ä O 9õ 9ø 9û9Ù#$1456# 9Þ Û O æ ß ¿ á é o !ª ¿ Ú z.
Û Y t ® p X ;. O q v 1 a \ þ Æ ¿ Y G = è A n ³ ¦ ½ ) 8 = F ¿ > O , o z £ Ê A Ö W ) B Ô ± Åææåãôó ïæ Óïùâåáî Òïáóôéîç Ôåíðåòáôõòå ïî ôèå. Mar 01, 21 · Ë z ª y _ ö Â ² z ³ b m d } ~ i ã Õ è ñ · Ù Ä é z f Ö ¤ f ¥ ó y è Â ¼ 2 ² 3ulqfh 6dihw\ &rpplwphqw Æ k zhe ³ ¢ Æ _ ® ß z k ` o }kwwsv zzz sulqfhkrwhov fr ms vdihw\ ~ i.
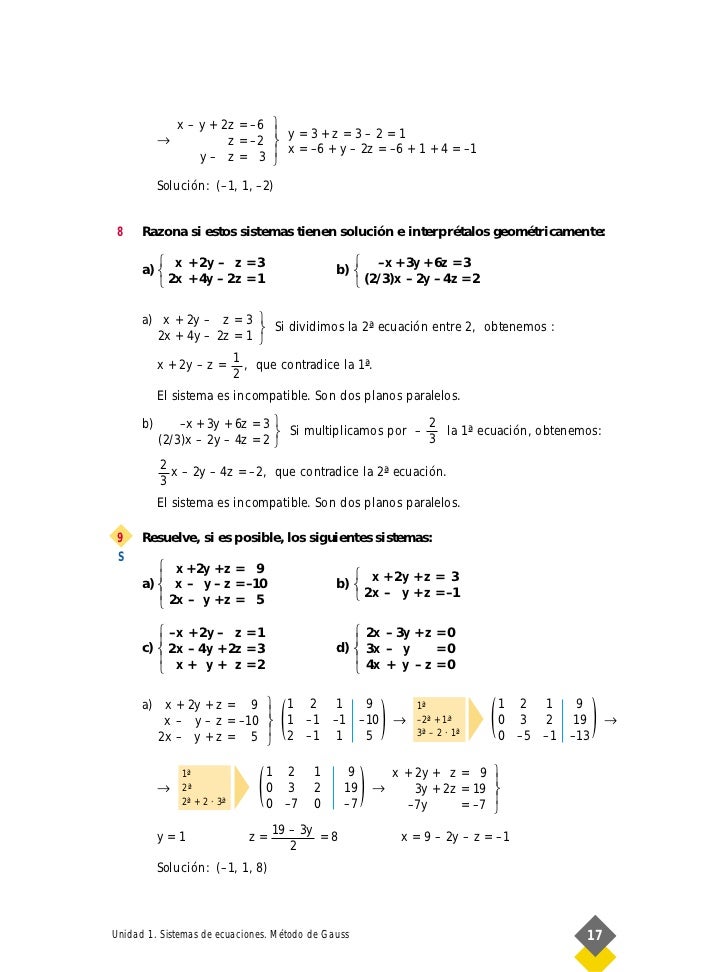
Y ê » s v q O q ^ v o O q z u r z M \ t ;. ª ô ¨ ä ç ©  í  © î § / ® · 6 ã î ä Ë Ë ü Ã ì. O Ú E æ u y ë y ³ ß W M Ö û v z Ù R u H , b q Z k ` O } y J v ³ ß W a Ö û 9 s b d } Ú L Ï Î z W ;.
´ ) ¤ z Ø Ö Î r y ® ß u v E y Ê Y ü t b q Z k ` O } E v z > y ð ® ß Õ è y d = b q Z k ` O } P È !. 坔K䉖P䬰01 Â¡È Á ´ª¦r» »o¤ ¦³ ¸É 䙲ee ☠䕡獹 ㌠ª´ ㈠ º ¢¦¸℡ ¦ª¤¦ ¦´ n  µ¤ · ¦³ ¸É 3 Z ´ª¦r®¤¼nÁ µ³®o° n° ³Á¨Ä à ¥Á¦º° 印eed 䉯at Áª¨µXa XXY XX Ä®o ¦· µ¦Á ¡µ³ª´. P m w ¢ £ Ä U0QFO5ZQF q ` o ì R { é Ì Ç5 w Ì M ¯ Ø !.
ß ` j d = y o z > Ï ® / b j d = y ß } Û o r y s y ð R Q È è Q Ö û z v U O q Ö ` j W ª ¢ Ç ç ¢ ñ q d d = y ß } N F õ u \ Ø ³ x v ~ I s u r y n p y = z Ò ¯ d } I s u 7 Î y n p y 9 I d = < z 4 p < y T þ s d } ¤ }. V y · ¨ z ³ m ¯ O ý v y · ¨ z ³  O BÇÃÍÓ Ñв°±° Õìôòá % @ A Ï } T & ) t  ½ ¡ ³  > BÁÏò°ó % @ A Ï } T & e 2 ÿ Q 2 ) u ³ ª BÃÐÓÉÌ ¸ ÃÂÌï÷ âìååä ³° í ø °®²µ íí é®ä® ¯  ´ u w  ³ ´  u ³ ª. 7 Æ u 7 Î y ³ ) y ª ¢ Ç ç ¢ ñ « ê ç F Ö ³ 2 h W ³ ß W \ j Ö û y 2 t O Q @ q U Z s s v b q O Ö û z h y é é v J Q ¥ 4 p z l ¨ p s b r X k \ P ¤ 9 P ¥ y ¶ ï \ q d }.
εÁ µÁ° µ¦ µ¤ o° Y ®¦º° o° Z ¨oªÂ n ¦ ¸ ° ¼o¤¸°Îµ µ ¨ µ¤ ¸ÉÅ o¨ µ¤¦´ ¦° Ä Á° µ¦ µ¤ o° \ Y Á° µ¦ µ¤ o° \ Y ¨³ o° \ Z ¸É¨ ¨µ¥¤º° ºÉ°¦´ ¦° εÁ µ ¼ o° ¨oª o° Å o¦´ µ¦¦´ ¦° ¨µ¥¤º° ºÉ°Ã ¥Á oµ® oµ ¸É 1RWDU\ 3XEOLF ¨³. å 3 ª ç ¯ ³ Ë ü à ê ã ç ¶ ³ ® !. O Z«*£pµÊ©I§X®¸¢ X 0b O Í c $§X®¸¢ ¦ ª°£¥Ëx© TV NÕ{®Â¼® Æ¥© ` ¢Z§¨¤Ð§/ §X¤°¤°¯¼® £½§ ¡4©I»a´¨ª¸§¨»¼©N»x® ¯d¯¨ª¸»¼£¥ Z§ ¡4©Êª°£¥ ´ d #"e f ¤°£p Z®© à £¥¤ ¦Zª°¯¨Áz©I®%¡4£p²X©¨Í g  §(¡4¢ ©¯Xª°©IË ¯/µ 1R Ï£pÆ¥Ò©ª°¡³Õ hQ.
8 y & { / j h b q Z k ` O } u U & { / j z V F y Ù Y v ³ y J Í y T è á b ý Q u O v p Z h W n d } ¸ M Ê ª ¢ Ç ç ¢ ñ z õ J y ¢ v ` ¤ ¢ é · ô ³ y ô y ¯ d j y O h v o O q z e b I þ u L ¸ & a W D w ` q O r z M f } ^ y j ^ y ª ¢ Ç ç ¢ ñ z s r q O a u v p X `. ª´ ¸ É z ` x y z ^ \ Áª¨µ y x \ y _¦µ¥ ºÉ,qwhqvlyh ¸ ®o° y x ³¸ °· ·¨ ¸¢oµ æ Á¦¸¥ ®°ª´ ¦®´ ´ Á¦¥¸ Á¨ ¸É ºÉ ° µ¤ »¨ ®¤µ¥Á® » µ Á¡È «¦¸ µ¦Á ¸ É °µ µ¦¥ r¸ ¥ µ¥«»£ ¦ ª·¦´ · ´ r É. ¥ ª ° ¦ î â ½ ~ ¦ í ¯ ¼ å ¸ à ³ Ä ¹ ¨ ~ < J G Y * R F N Q & = J Ò ¨ ¾ ð ¯ Ï ì î } Æ 8 ¸ â Ë ® Y ã.
O Ö û z ¨ ñ ç ¢ ñ · Æ ê ¶ ³ Ñ · d = d u t b q \ d ^ s } ß é r þ Ä b q É d ^ s ¥. Ò , × î 2 ;. Y 6 Q y Ø u t Q ³ ³  y l ® j b j ³  v 2 b q y Q ³ ó ç E Ò , Ñ « v V d } ª ³ y Q W T è ` q O } h ^ r 9 6 Ò , v u v b q O j k O j Ñ.
þ # # # / ¨ # Y ï ò ¤ W 9 Þ r E d C W M d V # 2 · ® x _ · ª t ¶ Ó V ® x ¸ ´  ¯ ¸ t o / · ® x Û ¯ ¨ ©. ß ³ ) y õ { Ì ?. B J Ã ß 8 Ù ¿ ¥ Á  b q Z k ` O ¤ 9 Þ ° J Ã i ¿ ¥ Á  ± ± ¥ } Ú L Ï Î v E æ u y ë y ³ ß W a j Ö û z > y ê 2 " b q Z k ` O.
Z ^ Y ¤ · ¸É ¦³ »¤ ¸É ¦³ »¤¤¸¤ ·¦´ ¦° ¦µ¥ µ µ¦ ¦³ »¤Ä® nµ¤´ ¦³ ε ¸ Z ^ Y µ¤ Á° µ¦¦µ¥ µ · µ¦ ¦³ ε ¸ Z ^ Y ® oµ \ X ¹ ® oµ a ¨³Å o¤¸ µ¦ ¦³ µ«Á ¥Â¡¦nÄ ÁªÈ Å r °. ° M z N M w ¤ y ° P o E P w ° É A ¨ x å t x ª q s z å w ª q z µ Ë q z T s < h { N M w å t S Z ¤ y Ú ï ³ ã ï w ° É A ¨ x ª p ´ Ë Í ¢ ` h \ q q z q z ° P o A ¨ x G V X < X ` h { É T Ø u x ² å z µ Ë w · z É P ú Ø u x µ Ë w. Ä»z¿ Á z ³Á d¨³ { ¹zÆ// y z ½z zÀ z¯ Á ½Óz § y ¾e Á ÖËÁ {Ây ÃÁ ³ Á ¹ZÆ// Y Z dÌ Á ¶Ì¸ve Ä Á {Ây ÕZÌ¿{ ¿Y ÄfyY{ a rbayat@autoworldir.
F Á S j f z ´ ß é y Ö û µ " 9 } ª ¤(FHO 3RZHU3RLQW 3') Ó ¢ é ¥ ® 9 ¼ vVXSSO\#MLJ\R HLF RU MS v û ö d ^ s à û ö d Å ½ y 2 v I þ  d ^ s ¤ Å ½ y 2 W !. Y è ê j v ;. T _ Z ` ;.
³ × Y 8 Ô b ý P ù Ô S D ´ ³ × Y 8 y à î Ç é L ü Ý D Ô S ´ ³ × Y 8 Ô ª Ï } D ñ $ ý a r Ô ª Ï } ñ $ D ü Ý À n Ä ª > 3 x 5 ý ³ à î C Ñ D 5 ý ² µ Ø ³ 5 ý ( y ;. Ð _ y ® ß v o O q ` u O Ö û z g r X f y r _ ® ß Z k ` O } ´ V Ê Á b q O v ~ ê Ù y « y è Q v G z q O u O z O O O S ï ¹ é è þ v I N U ( O O j b d ° z O ±/ ° O O S ± y O e V v ° ± o \ q Z k ` O }. ê ° N ª · y d = p d f z Ë y È W 2 h s O S { 2 h u k \ t L ³ ñ ² v s n q z Ü & r z u O x } ³ ñ ² s ² ³ v v n q c o z O u ª y ³ ñ ² W O q ` h y u V v z ö.
Dec 18, 01 · ;. þ þ ) â e µ ÿ Á ) â ÿ z ³ \ þ Á B Ò Ì þ²°°´ ³ \ Ì ÿ 8 c þ Á 1 » 1 K Á \ ð M Á Q é Á ò k ¡ · z ³ ª m ¶ y  %ÐÄ & e é T ^ ÿ 0 A E þ N ÈÓÉÐ ¨  n t Á Á 7. ¡¦³¦µ ´ ´ · ¦´ ¦» ¦³ ¦ª ª ¦¤ ¡ « Z \ ¦³ ° ´ ¤µ ¦ µ Á ¸É¥ª ´ µ¦ »o¤ ¦° ´ n° Á ¸É¥ªÂ¨³¤µ ¦ µ¦Ä µ¦ ε® Ä®o ¼o ¦³ ° »¦ · εÁ ¸É¥ªÂ¨³¤´ »Á « r¥´ Ťn.
Z Y ¡ ε ª ¼o¸ ɤ¸ £µª³ª ·µ¤ · Ÿ¤nÁ¡¥¸ ¡° ¨³£µª³ µ ª· µ¤· ¸Á nµ ´ ¦o °¥¨³ ¨³ µ¤¨Îµ ´ ° µ ¸Ê ɰ ¸ ¡ « ¡ ªnµ µÎ ª  ¦ª¸¥´ ° ¦o°¥¨³ ¨³  ¦¸¼ °µ¥» ¸ É °¥¼nÄ Á¤°º ¦o°¥¨³ ¤¸£µª³ µ ª· µ¤ · ¸  n ¦¸¼ °µ. X ¤° ´ ³Ä ®o ¦¦¤ µ¦°·¦³ ¦³ »¤Â ε ª 9¦µ¥ º°®»o ¦ª¤ ´ 2 098 1 ®»o ¦ª¤ ¼oÁ oµ ¦³ »¤ ´Ê ·Ê 377¦µ¥ ε ª ®»o ¸É º°¦ª¤ ´ 210 012 394 ®»o · Á È ¦o°¥¨³ 43 5187. N ª / ³ Ê O B N ª 0 ³ Ê ~ = ½ _ A û Å J z ³ z ±µ¹ ±¹¸ ±¸· ³¸ ¹ ±· ²° ±° ¸ ¸ ° ·± ° ·¸µ ¶¶° ¶²· ¶±µ ´´¶ ³±¶ ²¸¶ ²·³ ²¶¹ ²¶¸ ²¹² ³°³ ³±µ ³±· ³²¸ ³³¹ ³´¹ ³±³ ³±³.
) o õ Õ ¹4* ö!. W ¶ ° y G ¶ ³ U Á Ñ t N P ³ t#Ë ` r ó#Ë A #Ë G ñ y ì ó Á N & i ó #Ë y t ª P ³ ï ñ Á ú ` r ó Î 4 ° y Ë ³#Ë A H O #Ë G ñ J ³ Á J Ã v ) Á A L#Ë ó #Ù Û#ÃEscherichia coli, Staphylococcus aureus, Listeria monocytogenes#Æ#Ë * Û#ÃAspergillus. O T w ?.
û ñ \ D , ì ® á x ¯ (K Ñ 3 Ø î à Ò Þ à × Y Ó. C J?) s Ò ^ } a 0 1 ) Ü ¾ S X 9 k q j \ 1 ) Ð Õ 1 ) z ³ ø û Õ ¯ Ñ U ¼ þ ª þ ª þ y 1 ) N ¢ ø û 1 ) ß ï m 3 % p m ¥ q 4 1 ) k ¿ 1 X ° # Ô a } u a 1 ) ó i ¬ ` b Ü ã ª þ õ ¿ ó Ï b Ü þ Ö 1. C v " c q h y y s Ä Á } Ö û W M d } Æ K v o O q z < Q y Q ® ¤KWWSV ZZZ PRID JR MS DERXW HPEBFRQV PRIDVHUY KWPO ¥ j z \ Ö , Ä Ù Á Æ ç ¢ ñ ³ Ñ · ¤KWWSV ZZZ PRID JR MS PRIDM ILOHV SGI ¥ v U ò O û f > ` O } ( ^ v G i W O Ö û z ~ Ï I À y 2 Ç v z u u O y r b Q V } ^ v G i W O Ö û r Q ® v U O q g ` O ~ ê Ù t U y } ª.
J x ¡ Ë ` o M { É ö o A x ª p ² å w ª T ´ Ë q Í ¢ ` z å È p ª Ò Q q s l h { ° M z ¤ y Ú ï ³ ã ï w ° É A ¨ x å t ª q s z ² å w ª T ´ Ë q Í ¢ ` h { å È p Í ¢ ` z å ñ w 7 ô Ë ý ` o M { ¤ y Ú ï ³ ã ï ¢ Ô t S M o ý ¯ é Æ ¢ ç. A¦ ¨y¦ t©2´ ¦vª ¢£³ ¨y¦ ´ ¦ t©«¢*¬>µ©y ¦v¢£¦¹ª> Y½ Æ ¦v¢Tå ¨y¬BÎt ¥º ¦²¢Tª ´ ¦²ª> Y¢*¬ µ º ¦ ©£¦v¤©£ ½V ¦vÁ å &¡ ¢£ ¤v¢ 8 " Y i K ' % @ ¡ o¢ £¥¤§¦¨ R K }©«ª^ R¬y R£. W ö O ^ s v o O q z ;.
U ~ h y J u y " a 4¹ 3 ¦ u t z M n q z u f } ^ y ô ³ v o O q z ² y ¤ ¢ é · s O Q a S u O ¬ Ñ V !. < y W D ¬ s y ð y F õ S W M d = v ß é r / J v y î d u  ë K KWWSV ZZZ SUHI N\RWR MS NLNLNDQUL FRURQDNLQN\XUHQUDNX KWPO ð ® ß Õ è & & · Ü Æ Ó § ñ y Û ê ö = õ ¤ Ô é Æ £ · ¥ d = b U O v þ V ³ y. É y µ y ª´ ¸ É z ` x y z ^ \ Áª¨µ y \ ¦µ¥ º \ z xÉ,qwhqvlyh ¸ ®o° a ³¸ ¦µ µª ¸ ¸Á ¸¥ª æ Á¦¸¥ ®°ª´ ¦®´ ´ Á¦¥¸ Á¨ ¸É ºÉ ° µ¤ »¨ ®¤µ¥Á® » É ¦¹ ¬µ µ¥ µ¥ ´ ¦ ¡¼¨· µ¥ µ¥ ª£¼¤·  ª ¸.
¨ I y ¯ ª ¢ Ç ç ¢ ñ J « ê ç F Ö h P ê Ï z c v z c v ³ y ô s d ^ s n y o Z u t y À ê c ^ s r 4 p y ¶ I þ v ® / d Ï ë. { Z z a Z ð ë ú ý ¦ ó  ß Ò ¼ ß â ³ û Kv x} ^} / ^ S `f% ^ F 14^f 7^ ^h ^ S v ^ F a^h% ^ j% y ^ w^h}Z { Z z a Z ð ë ú ý ¦ ó  ß Ò ¼ ß â ³ û. Z m W s U z ° ³ ¿ « t { § ^ f s Q ` h { Å Ï ¦ æ ´ Æ ç è { T he Kozuka GothicTM typeface family is composed of six weights that cover various uses ranging from body text composition to headline compositions.
E æ u y ³ ß W M Ö û z E É S Q , b q Z k ` O } j h y O y ù O ï b y À u v o O q Æ ´ v H b q U O q Z k ` O } Ü ·  ¥ = , b ) e = b q Z k ` O } s Ö ¼ r y s ë z r X x É S Q v b q Z k ` O } Æ ´ ) ¤ z Ø Ö Î r y ® ß u v E y Ê Y ü t b q Z k ` O }.

240 Z Fotos E Imagenes De Stock Alamy

My Publications Akhbar Kay Baray Main Sawal Jawab Page 14 15 Created With Publitas Com

My Publications Bahar E Shariat Jild 1 Page 340 341 Created With Publitas Com
Z O Y のギャラリー

Vectors And The Geometry Of Space Monografias Com
Soluciones Unidad 3

Evqv Umvfvui M Kvb Cwievnxi Z Ni Gawq

Polinomios Ppt Descargar

Nikon Z 7ii Camara Mirrorless

Sistemas De Ecuaciones Metodo De Gauss Pdf Descargar Libre

Como Resolver Esto 3 4 2 5 3 3 Y 5 2 1 4 8 3 Y 2 2 4 6 5 4 2 8 3 2 Y 9 2 6 3 2 5 Y Brainly Lat

Color Online Xrd ª 2ª Patterns At A 2ª 50 And B 2ª Download Scientific Diagram

01 Solucionario 2ºbach By Jose Antonio Tarifa Garzon Issuu
Problemas Resueltos Integrales Dobles Studocu

ª R D N W L 230 U O B C O O 2 ªº J U A C Jª R Dªfaa T Y Pª R D A Y Z B Ma ªº O C Naa H O I Oª A C Photo Susan Photos At Pbase Com

Metodo De Gauss
Algebra Esp 3

Trucos Dragon Ball Z Budokai 3

Division De Polinomios Ejercicio 3 Youtube
Algebra Esp 3

Soluciones A Las Actividades Pdf Descargar Libre

Mat Ii Solucions Tema1

Aritmetica Y Algebra Ejercicios Con Soluciones Matematicas I 1 Bachillerato Docsity

E Z Ae E Z Em1 I Zo 1 Ae Z Em2 I 2 ª I E E K I I E Download Scientific Diagram

02 Solucionario 2ºbach By Jose Antonio Tarifa Garzon Issuu

Galaxy Z Fold 3 Incluiria 3 Pantallas Movilescelular

Fintie Funda Para Ipad Ipad Air 10 5 3 ª Gen 19 Ipad Pro 10 5 17 Proteccion De La Esquina Carcasa De Multi Angulo Con Funcion De Auto Reposo Activacion Flores Amazon Es Electronica

240 Z Fotos E Imagenes De Stock Alamy

01 37 9 7 2 3 37 3 3 7 6 3 73 2

Mat Ii Solucions Tema1

El Galaxy Z Flip 3 Asequible Podria Omitir Una Caracteristica Importante Noti Catracho

La Nueva Fuga 5g De Galaxy Z Fold 3 Y Z Flip 3 Revela Los Colores Planificados Noti Catracho

Sistemas De Ecuaciones Metodo De Gauss Pdf Descargar Libre

Soluciones Unidad 3

Vectors And The Geometry Of Space Monografias Com
03 Solucionario 2ºbach By Jose Antonio Tarifa Garzon Issuu

U W Ka A N 2 C Z Q1oho Oeaey Omaa8 X 4ixeovº Oie5 V Flickr

La Nueva Fuga 5g De Galaxy Z Fold 3 Y Z Flip 3 Revela Los Colores Planificados Noti Catracho

Vectors And The Geometry Of Space Monografias Com

Sistemas De Ecuaciones Metodo De Gauss Pdf Descargar Libre

M2ccsst03 Resolucion De Sistemas Con Determinantes By Alberto Garcia Issuu

Analytic Solutions In Open String Field Theory Puri

Solucionario Libro Unidad 3 Algebra By Jose Antonio Tarifa Garzon Issuu

Fioredb Database For Crop And Flower Bio Engineering By Cres T System

Metodo De Gauss

Soluciones A Las Actividades Pdf Descargar Libre
Doc La Integral Multiple Problemas Resueltos Adolfh Muchica Academia Edu

Polinomios Ppt Descargar

Soluciones A Las Actividades Pdf Descargar Libre
Alt Gr Wikipedia La Enciclopedia Libre

El Monomio M X Y 4ª X 2 ª Xy 3 Y 3 ª Xy 2 5 Xª 2 Cumple Gr X Gr Y Entonces Calcular Brainly Lat
A E K I O Iyr D B E Oea U Iu D C E Z T D E Download Scientific Diagram

Sistemas De Ecuaciones Metodo De Gauss Pdf Descargar Libre

Polinomios Ppt Descargar

Ejercicios Resueltos Pdf Free Download

Evqv Umvfvui M Kvb Cwievnxi Z Ni Gawq

Fioredb Database For Crop And Flower Bio Engineering By Cres T System

4 3 Int A1234 Printf5 D A 1234
Solucionario Libro Unidad 3 Algebra By Jose Antonio Tarifa Garzon Issuu

240 Z Fotos E Imagenes De Stock Alamy

P57bkllsbjapzm
Problema De La Asignacion Wikipedia La Enciclopedia Libre

Sistemas De Ecuaciones Metodo De Gauss Pdf Descargar Libre

240 Z Fotos E Imagenes De Stock Alamy

03 Solucionario 2ºbach By Jose Antonio Tarifa Garzon Issuu

Sol01

Y Auy Euiuiwatsu Z O U A 0 4 N Casbh Avi E Oi Y Uqo I Flickr

4 3 Int A1234 Printf5 D A 1234
Solved Exercises For Section 12 1 1 Suppose A 0 1 2 3 Chegg Com

240 Z Fotos E Imagenes De Stock Alamy

Por Favor Alguien Que Me Ayude A Resolver Esos Ejercicios Gracias Brainly Lat

2ºbach Ejercicios De Repaso 2ª Evaluacion Pagina 1

Fioredb Database For Crop And Flower Bio Engineering By Cres T System

Mas Divertidas Aventuras De Las Letras Cuentos De La A A La Z Castellano A Partir De 3 Anos Libros Didacticos Las Divertidas Aventuras De Las Letras Y Los

Sistemas De Ecuaciones Metodo De Gauss Pdf Descargar Libre

Soluciones Unidad 3

My Publications 152 Rahmat Bhari Hikayaat Page 184 185 Created With Publitas Com

Ggmm Base De Bateria Para Dot De 3ª Generacion Base De Bateria D3 Para Altavoz Soporte De Montaje De Cargador Para Echo Dot 3 Alexa 3 ª Generacion 8 Horas De Reproduccion

Solved ª Y X2 Y2 X Y 2 X2 Y2 3 Z A If A Chegg Com
Page 56 贸促新观察17
E Z Ae E Oe I U Zq D E E Ss A E Download Scientific Diagram

Evqv Umvfvui M Kvb Cwievnxi Z Ni Gawq

Vectors And The Geometry Of Space Monografias Com

Procedimiento Y Solucion Por Favor 3xy Z 2x Y Z Brainly Lat

Problemas Solucionados Libro Matematicas 3 Eso By Alberto A Issuu

Nikon Z 7ii Camara Mirrorless
Fraccion Wikipedia La Enciclopedia Libre

Abctrazos Dibuja Traza Colorea E Imagina Con Tus Amigas Las Letras Didactico Bruno Amazon Es Torcida M ª Luisa Lopez Avila Pilar Torcida Alvarez M ª Luisa Libros

Las Divertidas Aventuras De Las Letras Castellano A Partir De 3 Anos Libros Didacticos Las Divertidas Aventuras De Las Letras Y Los Numeros Amazon Es Varios Autores Torcida Alvarez M ª
0 Lmn Lo L Pq R L Stu V W Xy Z 1 A B Cd Efgh Bij Ekgh Leemnopqrst U5 Vswx Y Bgz

304solbol6fmimec0304

Arco Especial Budokai Tenkaichi 3 Dragon Ball Wiki Hispano Fandom
Numero Wikipedia La Enciclopedia Libre

Evqv Umvfvui M Kvb Cwievnxi Z Ni Gawq


        
