O Fba Waaw
ð¦ Nie¥O ˜ ~NÅPù@èbV2 PÆs5I’’ P ´%5 ~ €µÔ‰) '›9¥žÇ%W$‰O®\ÒÏÕa”tÎc D&SÀô¾®Þì–E ó›û“„Ù™íé/ > €¾ Y)ÃöùWã £tÏć>` 0 ˜œ\ñ³ O ãr/ Œ º‰V;t ;.
O fba waaw. ºãÆ Í¢Û>ð í4vT¼XÊDuÒn ËA®D ¯Î£'ŒLlGJ¯b ž ÙbjÂ. PK !LÑ JDD METAINF/MANIFESTMFManifestVersion 10 CreatedBy 142 (Sun Microsystems Inc) PK !*š€ ß ß COPYRIGHTCopyright © 02 Sun Microsystems, Inc. 0€1ˉ †8Îh öCÉqfC• ,àS³QÈ= B€S™ !.
ÃK ÃÎíffÌ sƒ ˆ‰ ÜÌnæÝÝÙ™»»gcn ìÌÝÜ™Ÿ»¹3>ç V Åé!wÉÅ €*þ«( Ëb(õño&wÉ*þ«(ïõ*Æ Oñ û âÅ €*þ«( ËZ(õÃm *þ«(òõ*Æ.

A Hospital Partnership With A Nursing Home Experiencing A Covid 19 Outbreak Description Of A Multiphase Emergency Response In Toronto Canada Stall Journal Of The American Geriatrics Society Wiley Online Library

Antisense Inhibition Of Protein Tyrosine Phosphatase 1b With Ionis Ptp 1brx Improves Insulin Sensitivity And Reduces Weight In Overweight Patients With Type 2 Diabetes Diabetes Care
The Parents Have Blood Group A And B Which Type Of Blood Group Will The Offspring Have Quora
O Fba Waaw のギャラリー

Understanding The Carbonation Of Concrete With Supplementary Cementitious Materials A Critical Review By Rilem Tc 281 Ccc Springerlink

Calculating Amounts Of Reactants And Products Worked Example Video Khan Academy

Positive Words That Start With B Gareth O Sullivan

A Z List Of Countries And Regions In The World Nations Online Project
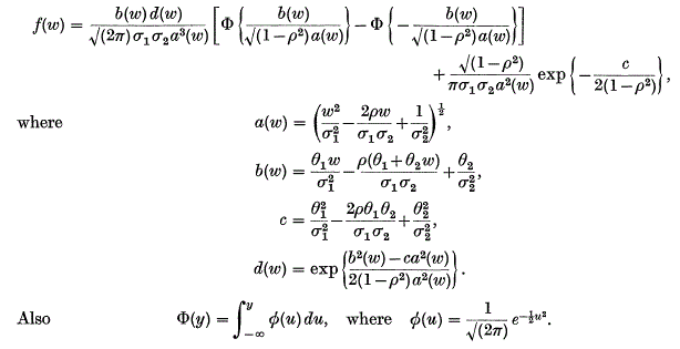
Econometrics Beat Dave Giles Blog The Distribution Of A Ratio Of Correlated Normals

U S Food And Drug Administration

25 Brilliant Examples Of Facebook Brand Pages Econsultancy

1500 English Idioms From A Z With Useful Examples 7esl
1 Vytah
Circle Of Fifths Wikipedia
Matrix Mathematics Wikipedia

Composition Of Anemonia Sulcata With W And Without W O Its Download Scientific Diagram
/difference-between-a-credit-card-and-a-debit-card-2385972-Final-5c4731cbc9e77c00018a49e9.png)
The Difference Between Credit Card And A Debit Card

Golocalprov Parler Is Back Online Reportedly With Support Of Russians
Two Ships A And B Are 4 Km Apart A Is Due West Of B If A Moves With A Uniform Velocity Of 8 Kph Due East And B Moves With A

Amazon Com A Greek English Lexicon Of The New Testament And Other Early Christian Literature 3rd Edition Bauer Walter Danker Frederick William Books

Ofb Dsavv Plugged In W Fumez The Engineer By Blowshhfor2

Capitulo 16 De Dinamica

Schatze B W Failure Ohtis

Infections With U K Variant B 1 1 7 Have Greater Risk Of Mortality Nih Director S Blog

Look What Ofb Have Done Drillshitpost

A Novel Coronavirus From Patients With Pneumonia In China 19 Nejm

W Va Delegate Charged Following Breach At Us Capitol

Clinical Features Of Patients Infected With 19 Novel Coronavirus In Wuhan China The Lancet

Ofb Izzpot X Yf X Dz Plugged In W Fumez The Engineer Pressplay Youtube
Osa Formation Of High Density Cubi2o4 Thin Film Photocathodes With Polyvinylpyrrolidone Metal Interaction
/ScreenShot2021-02-05at7.25.53PM-30d1f6f9936c4f7aa8c22c5f33269801.png)
W 4 Form How To Fill It Out In 21

Personal Banking Fifth Third Bank

19s The Condition Of The Teachers Cft A Union Of Educators And Classified Professionals

Nothing But Numpy Understanding Creating Neural Networks With Computational Graphs From Scratch Kdnuggets

Uw Homepage

How To Fill Out Form W 4 21 Withholding Guide Nerdwallet

Mapping The Space Of Chemical Reactions Using Attention Based Neural Networks Nature Machine Intelligence

Fitness Blender

Single Step Microfluidic Production Of W O W Double Emulsions As Templates For B Carotene Loaded Giant Liposomes Formation Sciencedirect

Periodic Table Of The Elements Sigma Aldrich
W Wikipedia

Bank Of America Banking Credit Cards Loans And Merrill Investing

Correlation Of Chest Ct And Rt Pcr Testing For Coronavirus Disease 19 Covid 19 In China A Report Of 1014 Cases Radiology

Firo B Assessment Tool Psychometrics Canada

Molecular Characterization Of Bathymodiolus Mussels And Gill Symbionts Associated With Chemosynthetic Habitats From The U S Atlantic Margin

Answered 1 For The Function Z X Y Show That Bartleby
:max_bytes(150000):strip_icc()/Multiple-Jobs-Worksheet-96358d4a739f409d9965ab4359911d3b.jpg)
W 4 Form How To Fill It Out In 21

Ofb Akz Plugged In W Fumez The Engineer Pressplay Youtube

Sony Introduces The Dpt Cp1 Digital Paper Tablet Does It Do Enough To Justify The 600 Price Quartz

Formation Of A Diurnal Thermocline In The Ocean Mixed Layer Simulated By Les In Journal Of Physical Oceanography Volume 39 Issue 5 09

Solved Iii A 4 0 Kg Block Is Stacked On Top Of

Gear Forces And Strength Durability Of Gears Sdpsi

Qslr01fvnbmmjm

The Parts Of The Periodic Table
Subset Wikipedia

Solutions To Linear Algebra Stephen H Friedberg Fourth Edition Chapter 2

Blood Groups Beyond A B And O What Are They And Do They Matter

What Is A Bill Of Lading Bol Bill Of Lading Definition Freightquote

Solved Let G W W W Where W A And B Are All Positive Chegg Com

How To Read A W 2 Earnings Summary Credit Karma Tax

Viqua 10 Standard Filter Housing Kit W Bracket Wrench Filter And O Ring Fb 34pr Ps

Quiz Answers Did You Know All 5 Freedoms Guaranteed By First Amendment The Morning Call

Point Of View Free Lessons For First Person Third Person Limited And Omniscient Reading Classroom School Reading 5th Grade Reading

Fluoride S Mechanism Of Action Fundamentals Of Dentifrice Oral Health Benefits In A Tube Continuing Education Course Dentalcare Com

Magnetic Force On A Current Carrying Conductor Physics

Baby Boy Names That Start With B

Facebook Mau Worldwide Statista

11 Proven Health Benefits Of Chia Seeds

A The Full Xps Survey Graph Of Ws 5 B W 4f Xps Spectra Of Ws 5 Download Scientific Diagram

Perceptrons Logical Functions And The Xor Problem By Francesco Cicala Towards Data Science

Baby Boy Names That Start With W

Alliteration Definition And Examples Litcharts

12 Health Benefits Of Avocado

Physicsresultsewk Cmspublic Twiki

7 A Cylindrical Caisson Having An Outside Diameter Of 9 M Floats In Sea Water Sp Gr 1 03 With Its Vertical And Its Lower End Submerged 9 M Below The Water

Catalysts Free Full Text Structural Optical Band Edge And Enhanced Photoelectrochemical Water Splitting Properties Of Tin Doped Wo3 Html

This Supercomputer Was Programmed To Think Like The Zodiac Killer No Wonder Its Poetry Is So Creepy History

Oring Ehandbook
B W Filters Genuine Or Counterfeit Accessories Talk Forum Digital Photography Review

Mastering Biology Chp 12 Hw Flashcards Quizlet

Sc 110 Ap Kit W O Fb Autopilot Kit Jetboil

You Re In Charge Messenger Group Chats Are Now Better Than Ever About Facebook

Classroom Kindergarten Songs School Songs Classroom Songs
Solved Read The Program Below Before Answering The Next F Chegg Com

The Way Of Kings Stormlight Archive Series 1 By Brandon Sanderson Paperback Barnes Noble
:max_bytes(150000):strip_icc()/Clipboard01-779726998cf64e9085a5319a27cc25f4.jpg)
Form W 2 Wage And Tax Statement Definition

Intro To Algorithms Chapter 19 B Trees

45 G Of Ethylene Glycol C 2 H 6 O 2 Is Mixed With 600 G Of Wat

Pdf Double Emulsions W O W Emulsions Encapsulation Of Plant Biactives

International Consensus On Use Of Continuous Glucose Monitoring Diabetes Care

Solved Let G W W W Where W A And B Are All Positive Chegg Com

Seo Ranking Factors Correlation What Does It Mean When A Metric Is Correlated With Google Rankings Moz

How To Formulate A Stable And Monodisperse Water In Oil Nanoemulsion Containing Pumpkin Seed Oil The Use Of Multiobjective Optimization

Original Farm Boys Documenting The Rise Of The Uk S Most The Face

Abbreviation A Big List Of Abbreviations In English 7esl

Solved Plz Help Me Answer This Multiple Choices Questions Chegg Com

Calculating Amounts Of Reactants And Products Worked Example Video Khan Academy

A Pneumonia Outbreak Associated With A New Coronavirus Of Probable Bat Origin Nature

Mechanics Map Rotating Frame Analysis

W B Leishman High Resolution Stock Photography And Images Alamy



