Xcosv U
, o À l } v U l l À u P } l µ u v ( À X ( o u o À v U.
Xcosv u. Title TN Community CARES Recipients by Grant Administrator editedxlsx Author DE01EAF Created Date 9/22/ PM. Created Date 12/31/ AM.

Tinkutara Equation Editor Math Forum Question

Math Handout Trigonometry Trig Formulas Web Page Studocu

Parametric Surfaces Chebfun
Xcosv U のギャラリー

Bernoulli S Formula For Integration By Parts

Solutions Homework Sections 17 7 17 9

1 Tan2u Sec2u 1 Cot2u Csc2u Ppt Download
Let X Be A Real Number Such That Math Left Sin X Right 10 Left Cos X Right 10 Frac 11 36 Math Then Math Left Sin X Right 12 Left Cos X Right 12 Frac M N Math Where M And N Are Positive Integers What Is The Value Of M

Basic Geometric Forms Are Depicted With Their Sets Of Parametric 3d Download Scientific Diagram

Sage Tutorial Part 1 4

Lesson 7 1 Integration By Parts Integration By

Solved 2 Let X U V Sin U Cos V Sin U Sin V Cos U Chegg Com
History Of Lorentz Transformations Wikipedia

Foundation Beginning Letter Sounds S T U V W X Y Z Worksheet Primaryleap Co Uk
How To Integrate E 2x Cos X Quora
X U V 2 Cos V Cos U 2 Cos V Sin U 2 Sin V Cos V Download Scientific Diagram

Matematikk R2 032 Sin U V Cos U V Og Tan U V Youtube

Parametric Surfaces Chebfun

2sinxcosx Formula Gamers Smart

Let The Function F Z U X Y Iv X Y Be Analytic In Some Domain D State Why The Functions U X Y E U X Y Cosv X Y V X Y E U X Y

How Calculate The Derivative Of Sine Sin X Cosine Cos X And Tangent Tan X

Calameo Torus Geodesics

Code Translation From Rhinoscript To Designscript Designscript Dynamo

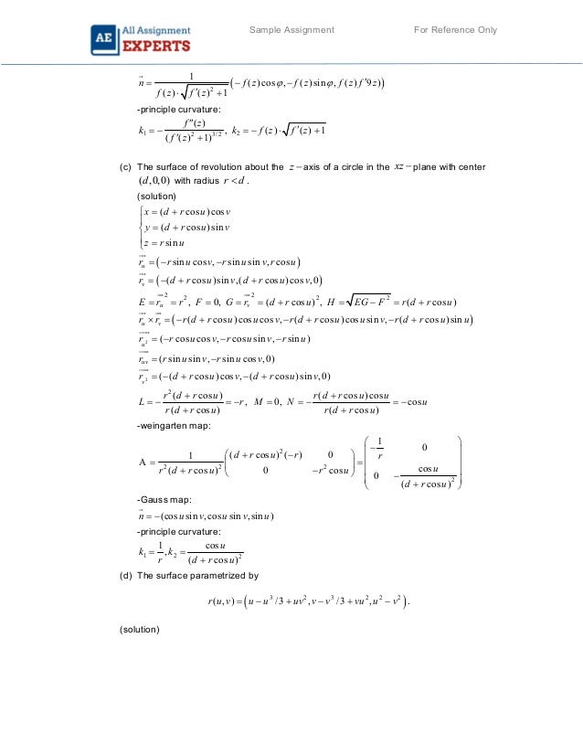
Mathematics Sample Assignment

Pin On Mathematics

Answers For Assignment 8

Math Scene Derivatives Lesson 4 Derivatives Of Exponential And Trig Functions

An Example Of Integration By Parts X Cos X Youtube

Code Translation From Rhinoscript To Designscript Designscript Dynamo

Sage Tutorial Part 1 4

Question Video Differentiating Functions Involving Trigonometric Ratios Using The Product Rule And The Chain Rule Nagwa

Solved B Define F 0 2n X 0 1 R With F Mt R U T Chegg Com

Elliptic Cylindrical Coordinates Wolfram Demonstrations Project

Answered Find The Exact Value Of The Trig Bartleby
Velocity Addition Formula Wikipedia

Ppt Sum And Difference Formulas Powerpoint Presentation Free Download Id

Elliptic Cylindrical Coordinates Wolfram Demonstrations Project

Solved Consider The Functions Z 4 E In Y X In U Co Chegg Com

O1o1 High Resolution Stock Photography And Images Alamy

Example 22 Find Derivative Of I X5 Cos X Sin X Examples

Mt22 Sheet 5 Solution Mt222 Studocu

If For All Real Values Of Ua N Dv 2f U Cosv U V F U V Pr

Edge Effects In The Parallel Plate Capacitor

Integral Of X Cos 2 X With Limits Integration Walkthrough Youtube
1 Vytah

Annual Report Deptof Mines And Mining 1 Ci X O O O Ciso E Cs T Cc Cc Os 1 Ci It 1 V Oco T Os O M X

Spiral Nature

Cos 3x Sin X Equation Answer Should Be In Degrees Not Radians Homeworkhelp

Creating Meshes Implicit Functions Lecture 25 Fri Oct

Finding The Cross Product Of Surface Mathematics Stack Exchange

Printable Version Of Lecture Notes

Ex 5 5 11 Differentiate X Cos X X X Sin X 1 X Ex 5 5

Fish Surface

Ab2 5 Surfaces And Surface Integrals Divergence Theorem Of Gauss Pdf Free Download

The Diagonal Angle Between A Theta And Phi Vector And The X Axis As Well As The Derivative Mathematics Stack Exchange

Answered Consider The Functions Z 2 E In Y X Bartleby

Sum And Difference Formulas Section 5 4 Exploration Are The Following Functions Equal A Y Cos X 2 B Y Cos X Cos 2 How Can We Determine Ppt Download

Example 22 Find Derivative Of I X5 Cos X Sin X Examples

Www Flickr Com Photos Internetarchivebookimages s Book Cd Jn W Cic X Cos N Ih H S Gt V Ci T Ft Apii C On Ts G Engineei I I Vu J Uy Rawxry Of 3ci Gt I E Siaitx Fj I A Ti Sourne End Road Joo 4ifi K Li Ati O Stock Photo

Enantioselective Alkoxycyclization Of 1 6 Enynes With Gold I Cavitands Total Synthesis Of Mafaicheenamine C Martin Torres Angewandte Chemie International Edition Wiley Online Library

Trig Identities Crossword Wordmint

Ex 13 2 11 Find Derivative I Sin X Cos X Ii Sec X

What S The Difference Between Cos U V And Cos U Cos V Calculus

Match The Equations With The Graphs Labeled I Vi And Give Reasons For Your Answers Determine Which Families Of Grid Curves Have U Constant And Which Have V Constant 16 X 1

Solved Consider The Functions Z 4 E In Y X In U Co Chegg Com
Velocity Addition Formula Wikipedia

Flux Surface X U V Cos U Sin V Sin Cos 2v Cos 2u 3 Download Scientific Diagram

Mathematics Sample Assignment

Parametric Surfaces Chebfun

Verify Jj 1 Given X E U Cos V Y E U Sin V Mathematics Stack Exchange

S I N X C O S X Zonealarm Results
Solved Exercies 2 5 Home Work 1 Find The First And Sec Chegg Com

Math Scene Trigonometry Rules Lesson 2

Change Of Variables In Double Integrals Pdf Free Download

The Function U E X Sinx V E X Cosx Satisfy The Equation A